注册结构工程师:作用在曲面上的流体静压力
五、作用在曲面上的流体静压力
在工程中常常会遇到曲面受压问题,如弧形闸门,圆柱形油箱等。作用在曲面任意点的流体静压强都沿其作用面的内法线方向垂直于作用面,但曲面各处的内法线方向不同,彼此不平行,也不一定交于一点。因此,求曲面上的静水压力时,一般将其分为水平方方向和水直方向的分力分别进行计算。现研究二向曲面(如柱面、圆弧曲面)AB上的流体总压力。图6-2-16为垂直于纸面的柱体,长度l,受压曲面AB,其左侧承受水的压力。设在曲面上,水深h处取一微小面积dA,作用在dA上的压力dP=PdA=pghdA,该力垂直于面积dA,并与水平面成夹角α,此力可分解成水平分力和垂直分力。令dAz=dAcosα,dAx=dAsinα,所以
![]()
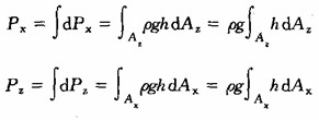
经积分可得:

式(6-2-6)右边的积分等于曲面AB在铅直平面上投影面积AZ对水面的水平轴y的静矩。设hc为AZ的形心在水面下的淹没深度,
![]()
可见,作用于曲面上的静水压力p的水平分力px等于该曲面的铅直投影面上的静水压力。因此,可以引用平面静水压力的方法求解曲面上静水压力的水平分力。
式(6-2-7)右边的hdAx,是以dAx为底面积,水深h为高的柱体体积。
所以
![]()
这就是说,作用于曲面上静水压力P的铅直分力pz等于其压力体内的水重。可见,正确绘制压力体是求解铅直分力的关键。压力体一般是三种面所封闭的体积:即底面是受压曲面,顶面是受压曲面边界线封闭的面积在自由或者其延长面上的投影面,中间是通过受压曲面边界线所作的铅直投射面。在特殊的情况下,压力体也可能是两种面或一种面所封闭的体积。
pz的方向取决于受压曲面和液体的相对位置。流体在上方向向下;流体在下方向向上。也就是说压力体内有水者方向向下,压力体内无水者方向向上。求出px和pz后,再求出合力p,则
![]()
合力p的作用线与水平线的夹角α为
![]()
p的作用线必然通过Pz与Px的交点,这交点一般不在曲面上。
2010年注册结构工程师考试报名时间信息汇总
结构工程师基础科目(一)考试普通化学练习题汇总
2010年结构师考试9月18、19日
更多信息请访问:结构工程师频道 结构工程师论坛
最新资讯
- 1元速取!2026注册结构工程师知识点集锦课程2026-03-31
- 2025年一级注册结构工程师考前实战试题解析:突破考试瓶颈的终极指南‌2025-10-13
- 2025年一级注册结构工程师常考知识点2025-02-17
- 2025年二级注册结构工程师高频知识点2025-02-17
- 2024年度二级注册结构工程师专业考试资料:规范、标准、规程2024-08-13
- 2024年度一级注册结构工程师专业考试资料:规范、标准、规程2024-08-13
- 环球网校双11预售开启!定金百倍膨胀,直播再返现金2023-10-25
- 环球网校结构工程师双11活动来啦,限时优惠!2023-10-25
- 注册结构工程师考试大纲下载2023-05-16
- 2023年一级注册结构工程师考试大纲内容2023-04-14