注册结构工程师:流体静力学模拟题(3)
更新时间:2010-07-19 09:50:23
来源:|0
浏览
收藏
结构工程师报名、考试、查分时间 免费短信提醒
[例6-2-3] 图6-2-14为一冷却池的泄水孔,在N点用绞链将闸门连接于挡水墙上,并在M点连接开启闸门的铁链,已知MN的尺寸b×H2=1×0.5┫,h1=2.9m,若开启闸门的铁链与水平面成45°角。求铁链的拉力T=? 闸门重与摩擦力不计。
[解] 确定闸门承受水的总压力

力户距铰链N的距离e
![]()
现按力丁和力P对N的力矩相等,即

当T>11202.3N时,即可开启闸门。

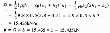
再用图解法求P,先绘静水压强分布图(图6-2-15),然后引用式p=Ω×b 其中:

压力中心为静水压强分布图梯形的形心,可作梯形的中线及梯形两底的延长线使NR=MQ,QS=NP,作对角线RS此梯形中线的交点E,通过E点作垂直于受压面的向量轧得交点D,这便是压力中心。
2010年注册结构工程师考试报名时间信息汇总
结构工程师基础科目(一)考试普通化学练习题汇总
2010年结构师考试9月18、19日
更多信息请访问:结构工程师频道 结构工程师论坛
编辑推荐
最新资讯
- 2025年二级结构工程师考试都是选择题吗?题型分布与备考策略全解析2025-10-30
- 2025年一级注册结构工程师模拟题终极指南:高效备考冲刺全攻略2025-10-30
- 2025年二级结构工程师专业考试模拟题解析,免费下载!备考冲刺必备资料2025-10-29
- 注册结构工程师模拟考试题2023-04-23
- 一级注册结构工程师模拟题下载2023-04-21
- 一级注册结构工程师模拟题2023-04-20
- 2022年一级注册结构工程师试题2022-04-11
- 2021年注册结构工程师考前复习练习题汇总(含模拟题、历年真题)2021-09-28
- 2021年二级注册结构工程师专业考试冲刺试题及答案(十)2021-09-16
- 2021年二级注册结构工程师专业考试冲刺试题及答案(九)2021-09-15