注册结构工程师:流体静力学模拟题(4)
更新时间:2010-07-20 08:58:12
来源:|0
浏览
收藏
结构工程师报名、考试、查分时间 免费短信提醒
[例6-2-4] 图6-2—17为一贮水容器,容器壁上有三个半球形的盖。已知H=2.5m,h=2m,d=0.5m。试求作用在每个球盖上的液体总压力。

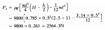
[解] 底盖MN的左、右两半部分水平压力大小相等方向相反,故底盖的水平分力为零。其液体总压力的垂直分力,因压力体内有水,方向向下。

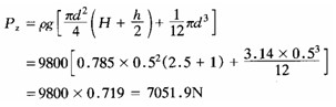
顶盖AB与底盖一样,水平分力为零,液体总压力等于曲面总压力垂直分力,因压力体无水,方向向上。即

侧盖EF总压力由垂直分力和水平分力合成。垂直分力为侧盖下半部实压力体和上半 部虚压力体之差的液体重量,即半球体体积的水重,方向向下。即

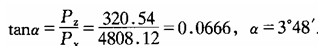
水平分力为半球体在垂直平面上的投影面液体总压力,方向向左。即
![]()
侧盖液体总压力
![]()
总压力的方向

总压力P垂直指向侧盖曲面并通过球心。
2010年注册结构工程师考试报名时间信息汇总
结构工程师基础科目(一)考试普通化学练习题汇总
2010年结构师考试9月18、19日
更多信息请访问:结构工程师频道 结构工程师论坛
编辑推荐
最新资讯
- 2025年二级结构工程师考试都是选择题吗?题型分布与备考策略全解析2025-10-30
- 2025年一级注册结构工程师模拟题终极指南:高效备考冲刺全攻略2025-10-30
- 2025年二级结构工程师专业考试模拟题解析,免费下载!备考冲刺必备资料2025-10-29
- 注册结构工程师模拟考试题2023-04-23
- 一级注册结构工程师模拟题下载2023-04-21
- 一级注册结构工程师模拟题2023-04-20
- 2022年一级注册结构工程师试题2022-04-11
- 2021年注册结构工程师考前复习练习题汇总(含模拟题、历年真题)2021-09-28
- 2021年二级注册结构工程师专业考试冲刺试题及答案(十)2021-09-16
- 2021年二级注册结构工程师专业考试冲刺试题及答案(九)2021-09-15