注册结构工程师辅导:圆管中的层流运动
更新时间:2010-07-22 09:16:10
来源:|0
浏览
收藏
结构工程师报名、考试、查分时间 免费短信提醒
(二)圆管中的层流运动
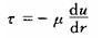
由式(6—1—2)有
![]()
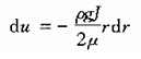
对于圆管将dy改为dr,又因du与dr符号相反,将上式改写为:
![]()
与式(6—4—6)联立可得:

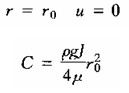
经积分得
![]()
管壁上

则

管轴处

从以上的推导得出的结论是:圆管中的层流,断面上流速分布是旋转抛物面。平均流速是最大流速的一半。
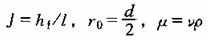
根据
![]()
将
![]()
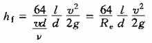
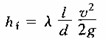
代入式(6—4—9),改写为:

令
![]()
得
![]()
式中 λ——沿程阻力系数。
所以,从圆管中层流的推导得到的又一个重要结论是:圆管中层流的水头损失只与雷诺数有关,而与管壁条件无关。且水头损失与流速的一次方成正比。
2010年注册结构工程师考试报名时间信息汇总
结构工程师基础科目(一)考试普通化学练习题汇总
2010年结构师考试9月18、19日
更多信息请访问:结构工程师频道 结构工程师论坛
编辑推荐
最新资讯
- 2025年一级注册结构工程师考前实战试题解析:突破考试瓶颈的终极指南‌2025-10-13
- 2025年一级注册结构工程师常考知识点2025-02-17
- 2025年二级注册结构工程师高频知识点2025-02-17
- 2024年度二级注册结构工程师专业考试资料:规范、标准、规程2024-08-13
- 2024年度一级注册结构工程师专业考试资料:规范、标准、规程2024-08-13
- 环球网校双11预售开启!定金百倍膨胀,直播再返现金2023-10-25
- 环球网校结构工程师双11活动来啦,限时优惠!2023-10-25
- 注册结构工程师考试大纲下载2023-05-16
- 2023年一级注册结构工程师考试大纲内容2023-04-14
- 2023年结构工程师教材内容变动对比2023-04-10