当前位置: 首页 > 结构工程师 > 结构工程师备考资料 > 注册结构工程师辅导:紊流运动的特征

注册结构工程师辅导:紊流运动的特征

更新时间:2010-07-22 09:39:03 来源:|0 浏览0收藏0

结构工程师报名、考试、查分时间 免费短信提醒

地区

获取验证 立即预约

请填写图片验证码后获取短信验证码

看不清楚,换张图片

免费获取短信验证码

  三、紊流运动的特征

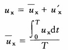
  紊流中,流体质点在运动中不断互相混杂,使各点的流速、压强等运动要素都随时间作无规则的变化,这种变化称为脉动现象。图6-4—3表示紊流中某点x方向速度ux(随时间t变化的曲线。同样也可测出该点uy、uz和p随时间的变化曲线。看起来这种变化迅速而无规律,使对紊流的研究十分困难。但经深入分析可知,这种脉动是围绕某一平均值而变化的。这样,可以将紊流看作两个流动的叠加。即时间平均流动和脉动的叠加。某点在某一瞬时x方向的速度ux就等于时间平均速度和该瞬时脉动流速的代数和。即

  同理,可得

  引入时间平均流动的概念后,尽管紊流实质上是极无规则的非恒定流,但只要它的时均值是一常数就可以将它看成恒定流。或者它的时均值随时间遵循某一规律变化,就可看作是随时间遵循某一规律变化的非恒定流(如水箱中水无补给时经水箱孔口的出流),而且前面提到的概念如流线、断面平均流速等等都可以看作是时间平均化后的概念,仍可照常应用。但对于紊流的切应力、紊流扩散等问题的研究却必须考虑紊流的脉动。

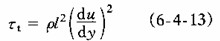
  紊流中的切应力除了由于粘性所产生的切应力外,由于质点互相掺混、动量的变换,还存在着紊流的附加切应力,又称为雷诺应力。

  式中

  为粘性引起的切应力;

  τt为紊流附加切应力即雷诺应力。经分析可得

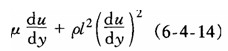
  但u’x、u’y等脉动流速难以求出。普兰特提出半经验的混合长度理论,推导出:

  才中 l——混合长度。流体质点因横向脉动流速作用,横向运动一段距离后,才同周围 质点进行动量交换。混合长度l即与此距离有关。

  du/dy——时均流速梯度。

  这样

  当雷诺数较小时,以粘性切应力τy为主,随Re的增加,紊流附加切应力τt在τ中的分量逐渐增大,至雷诺数相当大时,粘性切应力甚至可以忽略不计。

  紊流的流速分布,靠近固体边界处与核心区域是不同的。紧贴边界的流体质点流速为零,近边界处很薄的流层内,速度由零增至一定值,所以在此薄层内速度梯度很大,粘性切应力τy不容忽视。而由于壁面限制附近流体质点做横向运动,附加切应力τt可以忽略。这一薄层被称为粘性底层。在粘性底层内流速分布可作为直线分布。粘性底层以外是紊流核心,在紊流核心区域内由于质点相互掺混和动量交换,使断面上速度趋于平均化,分析和实验结果说明紊流过水断面上流速按对数曲线分布,一般公式为

  式中 v*——阻力速度。

  β—卡门通用常数,可由实验确定;

  y——离管壁的距离;

  c——常数,取决于边界条件。

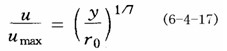
  也有人依据实验资料提出了指数曲线的形式:如

  在R=1.1×105s时

  式中 r0为圆管半径;y为至壁面的距离。

  粘性底层的厚度随R。的增大而减小,它虽然很薄,但对能量损失影响很大。

2010年注册结构工程师考试报名时间信息汇总
 结构工程师基础科目(一)考试普通化学练习题汇总
2010年结构师考试9月18、19日

更多信息请访问
结构工程师频道    结构工程师论坛

分享到: 编辑:环球网校

资料下载 精选课程 老师直播 真题练习

结构工程师资格查询

结构工程师历年真题下载 更多

结构工程师每日一练 打卡日历

0
累计打卡
0
打卡人数
去打卡

预计用时3分钟

结构工程师各地入口
环球网校移动课堂APP 直播、听课。职达未来!

安卓版

下载

iPhone版

下载

返回顶部