注册结构工程师辅导:沿程水头损失
四、沿程水头损失
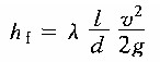
流体作均匀流动时,切应力沿程不变,单位长度的能量损失相等,这种损失称为沿程水头损失,它的大小与长度成正比。用hf表示。前面式(6-4-4)[或式(6-4-5)]已说明了切应力与沿程水头损失的关系。该式不仅适用于层流也同样适用于紊流。此外对于恒定均匀紊流,边壁上的切应力可以看作与流速平方成正比,采用下式表示:

式中 λ为沿程阻力系数。但紊流中的λ并不满足式(6-4—10)的关系。后面将讨论紊流中久究竟如何求得。
将式(6—4—17)代入式(6-4-4)再加以整理,又得到与式(6-4-11)同样的公式:

这里只是λ与前面有所不同。称为达西公式,是管流的通用公式。
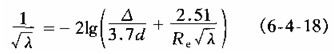
与层流不同的是λ为雷诺数及管壁相对粗糙度Δ/d的函数。Δ为管壁上的粗糙凸起 高度。对于紊流,无法像对圆管中的层流一样推导出λ,只能依靠实验研究。最初由尼古 拉兹在实验室中对人工粗糙管(即管壁均匀地粘上一定粒径的砂粒的管道)测出λ与Re和Δ/d的变化规律。以后许多人又做了矩形渠道和工业管道的实验,总结出不少经验公式。其中考尔布鲁克公式

是根据大量工业管道的试验资料提出的。为了简化计算,莫迪在此公式基础上绘成曲线(图6-4-4)称莫迪图。从莫迪图中可以看到:其中横坐标和纵坐标都是按对数分格的,称为双对数格纸,这样画出来的λ-R,曲线图形即为lgλ一lgRe的曲线图形。

按图中曲线可分为五个阻力区,不同区阻力系数的规律不同。
1.层流区:Re≤2300时,各种不同相对粗糙度的管道的沿程阻力系数λ=64/Re。这个结果与前面理论推导完全一致,即且仅与Re有关。
2.临界区(层流一紊流的过渡区):2300< Re <4000。此区域由于数值不稳定,研究较少,图中仅用斜线表示。
3.光滑区:图中表示为左下方的包络线。在此区内由于粗糙凸出高度被粘性底层所复盖,对阻力系数λ没有影响,λ仍仅与Re有关。
4.紊流过渡区:图中表示为光滑区至虚线之间的区域。随Re的增大,粘性底层厚度减小,粗糙凸起高度开始发生影响。在该区内λ与Re及Δ/d都有关系。λ=f(Re,Δ/d)。
5.粗糙区(阻力平方区):图中虚线以右的部分。曲线呈水平线,即λ与Δ/d有 关,与Re没有关系。因为此时粘性底层已减小到即使Re再增大也不能对流动阻力有什么影响了。
使用莫迪曲线求沿程阻力系数十分简便,查图的精度基本上能满足工程上的需要。图 中的Δ并非简单的粗糙凸起高度,而是工业管道的当量粗糙度,常用管材的当量粗糙度见表6-4-1。

2010年注册结构工程师考试报名时间信息汇总
结构工程师基础科目(一)考试普通化学练习题汇总
2010年结构师考试9月18、19日
更多信息请访问:结构工程师频道 结构工程师论坛
最新资讯
- 2025年一级注册结构工程师考前实战试题解析:突破考试瓶颈的终极指南‌2025-10-13
- 2025年一级注册结构工程师常考知识点2025-02-17
- 2025年二级注册结构工程师高频知识点2025-02-17
- 2024年度二级注册结构工程师专业考试资料:规范、标准、规程2024-08-13
- 2024年度一级注册结构工程师专业考试资料:规范、标准、规程2024-08-13
- 环球网校双11预售开启!定金百倍膨胀,直播再返现金2023-10-25
- 环球网校结构工程师双11活动来啦,限时优惠!2023-10-25
- 注册结构工程师考试大纲下载2023-05-16
- 2023年一级注册结构工程师考试大纲内容2023-04-14
- 2023年结构工程师教材内容变动对比2023-04-10