注册结构工程师:有压管道恒定流
更新时间:2010-07-23 09:10:51
来源:|0
浏览
收藏
结构工程师报名、考试、查分时间 免费短信提醒
三、有压管道恒定流
下面讨论的是不考虑压缩性的气体在管道中的恒定流动以及恒定的液体的满管流。
有压管道恒定流的水力计算主要是确定管道中通过的流量;确定相应的水头;确定某断面的压强或压强沿管线的变化。
根据布置不同,可分为简单管道,串并联管道。
(一)简单管道

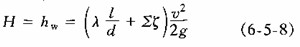
管径不变,没有分支的管道称为简单管道,见图6-5-4。水流自水池I经管道流至水池Ⅱ。两水池水面差为H。取上下游断面1—1和2—2,以Ⅱ池水面为基准面,可以写出能量方程:
![]()
上式中v1和v2分别为断面1和2的流速,hw是自断面1—1流至断面2—2的全部水头损失。一般情况下可以认为水池很大,v1≈v2≈0,则
![]()
式中 v——管中流速;
λ——管道沿程阻力系数;
l——管道总长度;
∑ζ——管道中各个局部阻力系数之和。
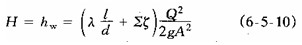
管中流量
![]()
将式(6-5-9)代入式(6-5-8)可得
![]()
2010年注册结构工程师考试报名时间信息汇总
结构工程师基础科目(一)考试普通化学练习题汇总
2010年结构师考试9月18、19日
更多信息请访问:结构工程师频道 结构工程师论坛
编辑推荐
上一篇:注册结构工程师:管嘴的恒定出流
下一篇:注册结构工程师:串联管道
最新资讯
- 1元速取!2026注册结构工程师知识点集锦课程2026-03-31
- 2025年一级注册结构工程师考前实战试题解析:突破考试瓶颈的终极指南‌2025-10-13
- 2025年一级注册结构工程师常考知识点2025-02-17
- 2025年二级注册结构工程师高频知识点2025-02-17
- 2024年度二级注册结构工程师专业考试资料:规范、标准、规程2024-08-13
- 2024年度一级注册结构工程师专业考试资料:规范、标准、规程2024-08-13
- 环球网校双11预售开启!定金百倍膨胀,直播再返现金2023-10-25
- 环球网校结构工程师双11活动来啦,限时优惠!2023-10-25
- 注册结构工程师考试大纲下载2023-05-16
- 2023年一级注册结构工程师考试大纲内容2023-04-14