注册结构工程师:串联管道
更新时间:2010-07-23 09:32:28
来源:|0
浏览
收藏
结构工程师报名、考试、查分时间 免费短信提醒
(二)串联管道
由不同直径的管段顺次联接而成的管道称为串联管道。如中间无流量分出,则各管段流量相同。由于各管段直径不同,流速不同,需分段计算水头损失。整个管道的水头损失等于各段损失之和。
如图6-5—8所示,由三段不同管径的管段组成的管道,联接点上有流量q流出,则各管段的流量Q1、Q2、Q3的关系为:

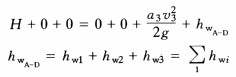
取1—l和D断面写能量方程:

当管道由几根不同直径的管段组成时:
![]()
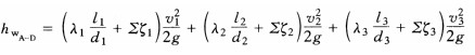
对于图6-5—8的管道,则

式中 λ1、λ2、λ3分别为各管段的沿程阻力系数;∑ζ1、∑ζ2、∑ζ3分别为各管段的局部阻力系数之和,管段联接处的局部损失视其阻力系数对应于哪段的流速水头则计入该管段损失内。
2010年注册结构工程师考试报名时间信息汇总
结构工程师基础科目(一)考试普通化学练习题汇总
2010年结构师考试9月18、19日
更多信息请访问:结构工程师频道 结构工程师论坛
编辑推荐
上一篇:注册结构工程师:有压管道恒定流
下一篇:注册结构工程师:并联管道
最新资讯
- 1元速取!2026注册结构工程师知识点集锦课程2026-03-31
- 2025年一级注册结构工程师考前实战试题解析:突破考试瓶颈的终极指南‌2025-10-13
- 2025年一级注册结构工程师常考知识点2025-02-17
- 2025年二级注册结构工程师高频知识点2025-02-17
- 2024年度二级注册结构工程师专业考试资料:规范、标准、规程2024-08-13
- 2024年度一级注册结构工程师专业考试资料:规范、标准、规程2024-08-13
- 环球网校双11预售开启!定金百倍膨胀,直播再返现金2023-10-25
- 环球网校结构工程师双11活动来啦,限时优惠!2023-10-25
- 注册结构工程师考试大纲下载2023-05-16
- 2023年一级注册结构工程师考试大纲内容2023-04-14