注册结构工程师辅导:水力最优断面
更新时间:2010-07-26 09:10:20
来源:|0
浏览
收藏
结构工程师报名、考试、查分时间 免费短信提醒
三、水力最优断面
根据式(6-6-6)有
![]()
通常底坡i由地形条件确定,粗糙系数n由渠道表面材料性质决定。于是在渠道过水断面A一定时(断面大小决定了工程量的大小,A一定表示工程量一定),要使流量Q最大,就必须使水力半径R最大。水力半径R为过水断面面积A和湿周χ的比值。A既一定,就必须使湿周χ为最小,才能得到最大的流量。这种湿周最小的断面,就称为水力最优断面。如果流量一定,则采用水力最优断面可使过水断面面积最小。
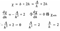
当采用矩形断面时,若已知过水断面面积为A,则

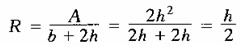
所以水力最优断面b/h=2
此时,
![]()
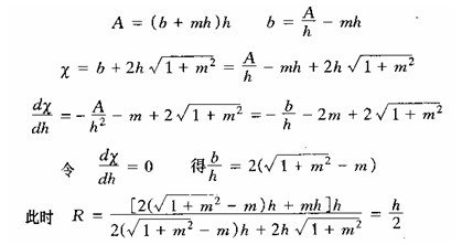
当采用梯形断面时,若已知过水断面面积A,边坡系数m,则由

要说明的是,水力最优断面只是从水力条件来考虑。而实际工程中还需综合考虑施工、运转、养护等因素选择最经济合理的断面。
2010年注册结构工程师考试报名时间信息汇总
结构工程师基础科目(一)考试普通化学练习题汇总
2010年结构师考试9月18、19日
更多信息请访问:结构工程师频道 结构工程师论坛
编辑推荐
最新资讯
- 2025年一级注册结构工程师考前实战试题解析:突破考试瓶颈的终极指南‌2025-10-13
- 2025年一级注册结构工程师常考知识点2025-02-17
- 2025年二级注册结构工程师高频知识点2025-02-17
- 2024年度二级注册结构工程师专业考试资料:规范、标准、规程2024-08-13
- 2024年度一级注册结构工程师专业考试资料:规范、标准、规程2024-08-13
- 环球网校双11预售开启!定金百倍膨胀,直播再返现金2023-10-25
- 环球网校结构工程师双11活动来啦,限时优惠!2023-10-25
- 注册结构工程师考试大纲下载2023-05-16
- 2023年一级注册结构工程师考试大纲内容2023-04-14
- 2023年结构工程师教材内容变动对比2023-04-10