注册结构工程师:无压圆管均匀流的水力计算
更新时间:2010-07-26 09:21:30
来源:|0
浏览
收藏
结构工程师报名、考试、查分时间 免费短信提醒
四、无压圆管均匀流的水力计算

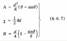
无压圆管指不满流的圆管。在排水工程中被广泛使用。对于长直的圆管,i>0,粗糙系数保持沿程不变时,管中水流可以认为是明渠均匀流。见图6—6—3。直径为d,水深为h的圆形管道,其过水断面面积A、湿周χ和水力半径R计算公式如下:

无压圆管均匀流水力计算的基本公式仍是
![]()
或

为了避免繁琐的计算,可以利用图6-6-4来计算。图中纵坐标为充满度α=h/d,横坐标为无量纲流量Q/Q0和无量纲流速v/v0。Q0和v0为圆管满流时的流量和流速。Q与v则表示充满度h/d时的流量和流速。从图中可以看出,最大流量发生在h/d=0.95时,这时Q/Q0=1.087,因为这时的AR2/3最大;最大流速发生在h/d=0.81时,这时v/v0=1.16。因为这时的水力半径R最大,水深再加大时,过水断面面积虽有增加,但湿周增加得更快,使R反而减小。
2010年注册结构工程师考试报名时间信息汇总
结构工程师基础科目(一)考试普通化学练习题汇总
2010年结构师考试9月18、19日
更多信息请访问:结构工程师频道 结构工程师论坛
编辑推荐
上一篇:注册结构工程师辅导:水力最优断面
下一篇:注册结构工程师辅导:渗流概述
最新资讯
- 1元速取!2026注册结构工程师知识点集锦课程2026-03-31
- 2025年一级注册结构工程师考前实战试题解析:突破考试瓶颈的终极指南‌2025-10-13
- 2025年一级注册结构工程师常考知识点2025-02-17
- 2025年二级注册结构工程师高频知识点2025-02-17
- 2024年度二级注册结构工程师专业考试资料:规范、标准、规程2024-08-13
- 2024年度一级注册结构工程师专业考试资料:规范、标准、规程2024-08-13
- 环球网校双11预售开启!定金百倍膨胀,直播再返现金2023-10-25
- 环球网校结构工程师双11活动来啦,限时优惠!2023-10-25
- 注册结构工程师考试大纲下载2023-05-16
- 2023年一级注册结构工程师考试大纲内容2023-04-14