注册结构工程师辅导:集水廊道
更新时间:2010-07-27 08:52:48
来源:|0
浏览
收藏
结构工程师报名、考试、查分时间 免费短信提醒
(二)集水廊道
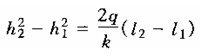
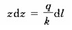
图6-7-2所示,不透水层顶部(或含水层底板)水平。地下水面(包括无压水的自由表面及有压水的测压管水头面)在集水廊道未排水或抽水前的水面称地下水静水面,排入后到达恒定状态的水面称动水面,动水面的水面线也叫浸润曲线。还假定集水廊道开挖到不透水层,于是集水廊道底面不进水。集水廊道垂直于底面方向单位宽度(B=1)的单宽流量q=vz=kJz,根据裘布依,J=sinθ≈tgθ=dz/dl,q=kztgθ=kz·dz/dl,令距离廊道l1和l2的地下水深分别为h1和h2,将上式分离变量,
![]()
积分之,得

上式为集水廊道浸润曲线方程。设集水廊道中的动水位为h0,含水层在集水廊道未工作前的厚度H,按上式,有

式中 l称为集水廊道的影响范围,在此范围以外,静水位不下降,即不受影响。若引入浸润曲线的平均坡度
这一概念,则上式可改写成
![]()
这一公式可用来初步估算q。不同的土的
值,大致为:极粗的砂及卵石,
=0.003~0.006;砂土
=0.006~0.02;砂质岩层
=0.02~0.05;砂粘土 =0.05~0.10;
粘土为0.10~0.20。式(6-7-3)也可改写成

2010年注册结构工程师考试报名时间信息汇总
结构工程师基础科目(一)考试普通化学练习题汇总
2010年结构师考试9月18、19日
更多信息请访问:结构工程师频道 结构工程师论坛
编辑推荐
下一篇:注册结构工程师辅导:单井
最新资讯
- 1元速取!2026注册结构工程师知识点集锦课程2026-03-31
- 2025年一级注册结构工程师考前实战试题解析:突破考试瓶颈的终极指南‌2025-10-13
- 2025年一级注册结构工程师常考知识点2025-02-17
- 2025年二级注册结构工程师高频知识点2025-02-17
- 2024年度二级注册结构工程师专业考试资料:规范、标准、规程2024-08-13
- 2024年度一级注册结构工程师专业考试资料:规范、标准、规程2024-08-13
- 环球网校双11预售开启!定金百倍膨胀,直播再返现金2023-10-25
- 环球网校结构工程师双11活动来啦,限时优惠!2023-10-25
- 注册结构工程师考试大纲下载2023-05-16
- 2023年一级注册结构工程师考试大纲内容2023-04-14