注册结构工程师辅导:单井
更新时间:2010-07-27 09:03:48
来源:|0
浏览
收藏
结构工程师报名、考试、查分时间 免费短信提醒
四、单井
潜水井涌水量

在具有自由表面的无压含水层中打出的井,称为潜水井。一种是井底深达不透水层,如图6—7-3所示称完全井。另一种是抽水时地下水从四周轴向对称地流入管井;过流断面是一圆柱面,面积 ;流速为kJ=k·dz/dr,所以流量
,分离变量得
![]()
积分后可得

在距井轴心r2和r1的地方各打一个观测地下水水位的钻孔,求得与抽水量相应的水位z2和z1,利用上式可求渗流系数是值。
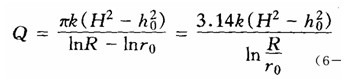
为了计算井的涌水量Q,引入井的影响半径R的概念:在浸润漏斗上,有一半径r=R的一个圆,在R范围以外,浸润漏斗的下降H—z趋于零,即天然地下水位不受影响,距离尺称为井的影响半径。如果对式(a)积分时,取r=r0和r=R及z=h0和z=H为积分上下限,得
![]()
或

可用经验公式估算影响半径R,各种经验公式出入较大,用得较多的求潜水井影响半径的经验公式有:
![]()
2010年注册结构工程师考试报名时间信息汇总
结构工程师基础科目(一)考试普通化学练习题汇总
2010年结构师考试9月18、19日
更多信息请访问:结构工程师频道 结构工程师论坛
编辑推荐
上一篇:注册结构工程师辅导:集水廊道
下一篇:注册结构工程师辅导:自流井
最新资讯
- 1元速取!2026注册结构工程师知识点集锦课程2026-03-31
- 2025年一级注册结构工程师考前实战试题解析:突破考试瓶颈的终极指南‌2025-10-13
- 2025年一级注册结构工程师常考知识点2025-02-17
- 2025年二级注册结构工程师高频知识点2025-02-17
- 2024年度二级注册结构工程师专业考试资料:规范、标准、规程2024-08-13
- 2024年度一级注册结构工程师专业考试资料:规范、标准、规程2024-08-13
- 环球网校双11预售开启!定金百倍膨胀,直播再返现金2023-10-25
- 环球网校结构工程师双11活动来啦,限时优惠!2023-10-25
- 注册结构工程师考试大纲下载2023-05-16
- 2023年一级注册结构工程师考试大纲内容2023-04-14