注册结构工程师辅导:自流井
更新时间:2010-07-27 09:09:12
来源:|0
浏览
收藏
结构工程师报名、考试、查分时间 免费短信提醒
(二)自流井
含水层位于两不透水层之间,其中渗流所受的压强大于大气压。这样的含水层称自流层,由自流层供水的井称自流井,如图6—7—4所示。
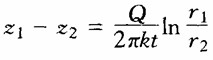
如底层和复盖层均为水平,两层间的距离一定,井为完全井,凿井穿过复盖在含水层上的不透水层时,地下水位将升到高度H。若从井中抽水,井中水深由H降至h,形成一个以井轴为中心的轴对称漏斗形测压管水头面。
以半径为r的圆柱形过流断面积
,流量
,经分离变量及积分后,可得

或

与潜水井相类同,采用影响半径R的概念,令r=R,z=H代入式(6-7—8)可得自流完全井的涌水量计算公式

2010年注册结构工程师考试报名时间信息汇总
结构工程师基础科目(一)考试普通化学练习题汇总
2010年结构师考试9月18、19日
更多信息请访问:结构工程师频道 结构工程师论坛
编辑推荐
上一篇:注册结构工程师辅导:单井
下一篇:注册结构工程师辅导:渗流资料汇总
最新资讯
- 1元速取!2026注册结构工程师知识点集锦课程2026-03-31
- 2025年一级注册结构工程师考前实战试题解析:突破考试瓶颈的终极指南‌2025-10-13
- 2025年一级注册结构工程师常考知识点2025-02-17
- 2025年二级注册结构工程师高频知识点2025-02-17
- 2024年度二级注册结构工程师专业考试资料:规范、标准、规程2024-08-13
- 2024年度一级注册结构工程师专业考试资料:规范、标准、规程2024-08-13
- 环球网校双11预售开启!定金百倍膨胀,直播再返现金2023-10-25
- 环球网校结构工程师双11活动来啦,限时优惠!2023-10-25
- 注册结构工程师考试大纲下载2023-05-16
- 2023年一级注册结构工程师考试大纲内容2023-04-14