注册结构工程师辅导:挡土墙设计
更新时间:2010-08-05 11:08:17
来源:|0
浏览
收藏
结构工程师报名、考试、查分时间 免费短信提醒
二、挡土墙设计
挡土墙设计应根据地质条件、材料、施工等因素综合考虑。通常包括下列内容:
(1)稳定性验算,包括抗倾覆和抗滑移稳定性;
(2)地基承载力验算;
(3)墙身强度验算。
在上列内容中,地基的承载力验算与一般偏心荷载作用下基础的计算方法相同,即要 求基底的最大压应力σmax=1.2R (R为地基土容许承载力)。墙身强度验算应根据墙体材料分别按砖石结构、素混凝土结构或钢筋混凝土结构有关计算方法进行。挡土墙埋深较浅时,可不考虑被动土压力的影响,稳定性验算按图12-5-10所示力系进行。

挡土墙基底的摩擦系数μ值表12-5-1 基底土的类别|μ

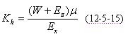
抗倾覆安全系数Kq指对墙趾O点的抗倾力矩与倾覆力矩之比,应满足:

抗滑动安全系数Kh指阻滑力与滑动力之比应满足

式中h 、α、b分别为Ex、Ez和W对墙趾O的力臂;W为挡土墙的自重; Ex、Ez为 土压力在x, z方向的分量;μ为基底摩擦系数,应由试验确定,缺乏资料时可按 表12-5-1取用。
挡土墙设计还应重视墙后排水。由于雨水下渗,墙后积水可使填土重度增大,强度降低、地基土软化,造成挡土墙破坏。所以墙后填土应尽量选用透水性较强的土,如砂土、砾石、碎石等。不应采用淤泥、耕植土、膨胀性教土等作为填料。在墙身应布置适当数量 的泄水孔。泄水孔入口处应用粗粒材料做滤水层以免淤塞,墙后地面应铺筑和土隔水层。
2010年注册结构工程师考试报名时间信息汇总
结构工程师基础科目(一)考试普通化学练习题汇总
2010年结构师考试9月18、19日
更多信息请访问:
![]()
编辑推荐
最新资讯
- 1元速取!2026注册结构工程师知识点集锦课程2026-03-31
- 2025年一级注册结构工程师考前实战试题解析:突破考试瓶颈的终极指南‌2025-10-13
- 2025年一级注册结构工程师常考知识点2025-02-17
- 2025年二级注册结构工程师高频知识点2025-02-17
- 2024年度二级注册结构工程师专业考试资料:规范、标准、规程2024-08-13
- 2024年度一级注册结构工程师专业考试资料:规范、标准、规程2024-08-13
- 环球网校双11预售开启!定金百倍膨胀,直播再返现金2023-10-25
- 环球网校结构工程师双11活动来啦,限时优惠!2023-10-25
- 注册结构工程师考试大纲下载2023-05-16
- 2023年一级注册结构工程师考试大纲内容2023-04-14