注册结构工程师辅导:极限承载力基本概念
更新时间:2010-08-05 11:18:05
来源:|0
浏览
收藏
结构工程师报名、考试、查分时间 免费短信提醒
三、地基承载力理论
地基承载力理论有两种分析方法:极限荷载和临塑临界荷载。极限荷载是指地基发生整体剪切破坏时的最小压力;临塑荷载和临界荷载是指地基中产生局部剪切破坏时的压力。因此后者不是一个固定值,而是与破坏区的大小相对应的。例如,当地基中刚要产生塑性区时的荷载称为临塑荷载;如果允许地基中产生四分之一基础宽度塑性区时的荷载,称为临界荷载。地基承载力的理论基础是土的强度极限平衡理论。
(一)极限承载力
1.基本概念
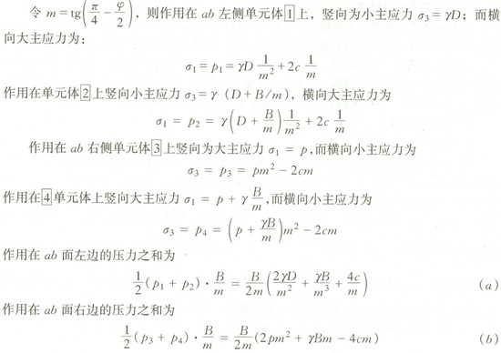
埋置深度为D,宽度为B的条形基础,见图12-5-11 (α)。假定基础底面无摩擦,可以设想基底下作用在A土体单元上的竖向为大主应力σlA,而横向为小主应力σ3A。作用在基底范围以外B单元上横向是大主应力σ1B;而竖向是小主应力σ3B。因此当荷载p增加,地基发生整体破坏时地基中形成二组滑动面在基础范围内aa‘为大主应力平面,因此滑面方向与aa‘面夹角为
;在基础范围以外, ac面为小主应力平面,滑动面方向与ac面夹角为
。见图12-5-11 (b)所示。基础底面以下土体发生主动破坏,称为主动区;基底外土体发生被动破坏,称为被动区。滑动面由两个平面所组成。建立主动区与被动区界面ab面的平衡条件,见图12-5-11 (c)所示。



2010年注册结构工程师考试报名时间信息汇总
结构工程师基础科目(一)考试普通化学练习题汇总
2010年结构师考试9月18、19日
更多信息请访问:
![]()
编辑推荐
上一篇:注册结构工程师辅导:挡土墙设计
最新资讯
- 1元速取!2026注册结构工程师知识点集锦课程2026-03-31
- 2025年一级注册结构工程师考前实战试题解析:突破考试瓶颈的终极指南‌2025-10-13
- 2025年一级注册结构工程师常考知识点2025-02-17
- 2025年二级注册结构工程师高频知识点2025-02-17
- 2024年度二级注册结构工程师专业考试资料:规范、标准、规程2024-08-13
- 2024年度一级注册结构工程师专业考试资料:规范、标准、规程2024-08-13
- 环球网校双11预售开启!定金百倍膨胀,直播再返现金2023-10-25
- 环球网校结构工程师双11活动来啦,限时优惠!2023-10-25
- 注册结构工程师考试大纲下载2023-05-16
- 2023年一级注册结构工程师考试大纲内容2023-04-14