结构工程师-结构模型试验知识点解析2
更新时间:2010-10-14 14:57:24
来源:|0
浏览
收藏
结构工程师报名、考试、查分时间 免费短信提醒
一、相似定理
(一)相似第一定理——相似现象的性质
两个物理现象的相似,要求两个现象具有相同物理性质的变化过程,参与两个现象中对应的同名物理量之间有固定的比例常数。
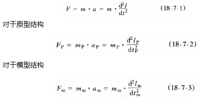
根据牛顿运动定律,作用于结构的惯性力

式中F、m、l和t分别为惯性力、质量,位移和时间。下标p与m分别表示原型和模型。由于要求各同名物理量之间有固定的比例常数
则
式中SF、Sm、Sl和St为惯性力、质量,位移和时间的相似常数
将公式(18—7—4)代人(18—7—3)得

上式相似常数群
为两现象相似各相似常数之间需要满足的一定关系,称为模型与原型相似的相似指标,相似现象的相似指标等于1。
由公式(18—7—4)和(18—7—7)可得

由公式(18—7—7)和(18—7—10)说明相似第一定理。即相似现象的相似指标等于1,或相似判据相等。相似判据将两个相似现象中的物理量关系确定下来,并可将在模型研究的结果推广到原型结构上去。相似第一定理说明相似现象的基本性质,相似判据相等是模型和原型相似的必要条件。
2010结构工程师考试成绩查询汇总 2010年结构工程师考后交流正热
2011结构工程师考试辅导招生简章 2011年度结构工程师考试时间预测
编辑推荐
最新资讯
- 2025年一级注册结构工程师考前实战试题解析:突破考试瓶颈的终极指南‌2025-10-13
- 2025年一级注册结构工程师常考知识点2025-02-17
- 2025年二级注册结构工程师高频知识点2025-02-17
- 2024年度二级注册结构工程师专业考试资料:规范、标准、规程2024-08-13
- 2024年度一级注册结构工程师专业考试资料:规范、标准、规程2024-08-13
- 环球网校双11预售开启!定金百倍膨胀,直播再返现金2023-10-25
- 环球网校结构工程师双11活动来啦,限时优惠!2023-10-25
- 注册结构工程师考试大纲下载2023-05-16
- 2023年一级注册结构工程师考试大纲内容2023-04-14
- 2023年结构工程师教材内容变动对比2023-04-10