结构工程师-结构模型试验知识点解析3
更新时间:2010-10-14 15:08:32
来源:|0
浏览
收藏
结构工程师报名、考试、查分时间 免费短信提醒
(二)相似第二定理——相似判据的确定
1.方程式分析法
研究现象的各物理量之间的关系可用方程式表达时,则可以用表达这一物理现象的方程式导出相似判据。
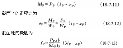
一悬臂梁,在梁端作用一集中荷载P

在x截面处的弯矩为

按照各物理量确定相似常数,如上面推导惯性力相似判据的方法可得下列各相似指标

当表达物理现象函数关系为微分方程式时,求相似判据的步骤是:
①将微分方程中所有微分符号去掉;
②任取其中的一项去除方程式中的其他各项;
③所得的各项即为要求的相似判据。
一单自由度系统在受强迫力作用后其动力平衡微分方程为:

式中,m,c,K,x,t和P(t)分别为质量,阻尼系数,弹簧常数,位移,时间和干扰力。
同样模型的微分方程为:
![]()
当确定各物理量的相似常数Sm、Sc、Sk、Sx、St和SP并将(18—7—17)式中模型参数用原型参数与相似常数的乘积表示:

由此可得相似判据为:
![]()
上列说明相似判据的形式变换仅与相似常数有关,而微分符号可不予考虑。
2010结构工程师考试成绩查询汇总 2010年结构工程师考后交流正热
2011结构工程师考试辅导招生简章 2011年度结构工程师考试时间预测
编辑推荐
最新资讯
- 2025年一级注册结构工程师考前实战试题解析:突破考试瓶颈的终极指南‌2025-10-13
- 2025年一级注册结构工程师常考知识点2025-02-17
- 2025年二级注册结构工程师高频知识点2025-02-17
- 2024年度二级注册结构工程师专业考试资料:规范、标准、规程2024-08-13
- 2024年度一级注册结构工程师专业考试资料:规范、标准、规程2024-08-13
- 环球网校双11预售开启!定金百倍膨胀,直播再返现金2023-10-25
- 环球网校结构工程师双11活动来啦,限时优惠!2023-10-25
- 注册结构工程师考试大纲下载2023-05-16
- 2023年一级注册结构工程师考试大纲内容2023-04-14
- 2023年结构工程师教材内容变动对比2023-04-10