2011结构工程师第15章-钢结构考点(56)
更新时间:2010-10-25 13:36:10
来源:|0
浏览
收藏
结构工程师报名、考试、查分时间 免费短信提醒
3.角焊缝的强度计算
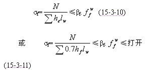
(1)轴力(N)作用下
轴力N通过焊缝形心,焊缝应力均匀分布,当力垂直于焊缝方向(端缝)时(图15-3-16)。


当力平行于焊缝长度方向时

式中 he——角焊缝的有效厚度,对于直角角焊缝等于0.7hf,hf为焊脚尺寸;
1w——角焊缝的计算长度,对每条焊缝取实际长度减去2hf;
——角焊缝的强度设计值;
σf 按焊缝有效截面(
)计算,垂直于焊缝长度方向的应力;
τf 按焊缝有效截面(
)计算,沿焊缝长度方向的剪应力;
βf--系数,对承受静力荷载或间接承受动力荷载的结构中的角焊缝βf=1.22;对 直接承受动力荷载的结构中的角焊缝βf=1。
当采用三面围焊时

式中
—端焊缝的计算长度(对每条焊缝取实际长度);
lw——侧焊缝的计算长度,对每条焊缝取实际长度减去hf。
2010结构工程师考试成绩查询汇总 2010年结构工程师考后交流正热
2011结构工程师考试辅导招生简章 2011年度结构工程师考试时间确定
编辑推荐
最新资讯
- 2025年一级注册结构工程师考前实战试题解析:突破考试瓶颈的终极指南‌2025-10-13
- 2025年一级注册结构工程师常考知识点2025-02-17
- 2025年二级注册结构工程师高频知识点2025-02-17
- 2024年度二级注册结构工程师专业考试资料:规范、标准、规程2024-08-13
- 2024年度一级注册结构工程师专业考试资料:规范、标准、规程2024-08-13
- 环球网校双11预售开启!定金百倍膨胀,直播再返现金2023-10-25
- 环球网校结构工程师双11活动来啦,限时优惠!2023-10-25
- 注册结构工程师考试大纲下载2023-05-16
- 2023年一级注册结构工程师考试大纲内容2023-04-14
- 2023年结构工程师教材内容变动对比2023-04-10