2011结构工程师第15章-钢结构考点(57)
更新时间:2010-10-25 13:42:02
来源:|0
浏览
收藏
结构工程师报名、考试、查分时间 免费短信提醒
(2)钢板与角钢连接焊缝计算
1)角钢用侧缝连接时
由于角钢截面形心到肢背和肢尖的距离不相等,靠近形心的肢背焊缝受力大,故侧缝的直角角焊缝按下式计算

式中 Kl、K2——焊缝内力分配系数,按下表取用;

hf1、hf2——分别为肢背、肢尖的焊脚尺寸;
lw1、1w2——分别为肢背、肢尖的焊缝计算长度,每条焊缝为实际长度减去2hf。
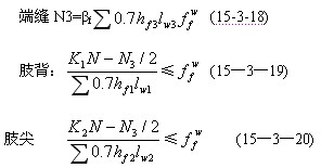
2)角钢用三面围焊时
计算时既要照顾到焊缝形心线基本上与角钢形心线一致,又要考虑到侧缝与端缝计算的区别。计算公式如下:

式中 hf3——端缝的焊脚尺寸;
lw3——端缝的焊缝计算长度,1w3=b;
3)角钢用L形围焊时
端缝与肢背焊缝受力为:
N3=2K2N
N1=(K1-K2)N (15-3-21)
L形围焊角焊缝计算公式为:

2010结构工程师考试成绩查询汇总 2010年结构工程师考后交流正热
2011结构工程师考试辅导招生简章 2011年度结构工程师考试时间确定
编辑推荐
最新资讯
- 2025年一级注册结构工程师考前实战试题解析:突破考试瓶颈的终极指南‌2025-10-13
- 2025年一级注册结构工程师常考知识点2025-02-17
- 2025年二级注册结构工程师高频知识点2025-02-17
- 2024年度二级注册结构工程师专业考试资料:规范、标准、规程2024-08-13
- 2024年度一级注册结构工程师专业考试资料:规范、标准、规程2024-08-13
- 环球网校双11预售开启!定金百倍膨胀,直播再返现金2023-10-25
- 环球网校结构工程师双11活动来啦,限时优惠!2023-10-25
- 注册结构工程师考试大纲下载2023-05-16
- 2023年一级注册结构工程师考试大纲内容2023-04-14
- 2023年结构工程师教材内容变动对比2023-04-10