2011结构工程师第15章-钢结构考点(72)
更新时间:2010-10-26 11:07:47
来源:|0
浏览
收藏
结构工程师报名、考试、查分时间 免费短信提醒
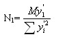
4.拉力螺栓群在弯矩作用下计算(图15-3-33)

高强螺栓群在弯矩作用下,受力时绕形心转动,在弯矩作用下,按下式计算:
(15—3—43)
式中:
-----------螺栓群中心至最外一列螺栓距离
-----------------第i列螺栓至螺栓群中心距离
2010结构工程师考试成绩查询汇总 2010年结构工程师考后交流正热
2011结构工程师考试辅导招生简章 2011年度结构工程师考试时间确定
编辑推荐
最新资讯
- 2025年一级注册结构工程师考前实战试题解析:突破考试瓶颈的终极指南‌2025-10-13
- 2025年一级注册结构工程师常考知识点2025-02-17
- 2025年二级注册结构工程师高频知识点2025-02-17
- 2024年度二级注册结构工程师专业考试资料:规范、标准、规程2024-08-13
- 2024年度一级注册结构工程师专业考试资料:规范、标准、规程2024-08-13
- 环球网校双11预售开启!定金百倍膨胀,直播再返现金2023-10-25
- 环球网校结构工程师双11活动来啦,限时优惠!2023-10-25
- 注册结构工程师考试大纲下载2023-05-16
- 2023年一级注册结构工程师考试大纲内容2023-04-14
- 2023年结构工程师教材内容变动对比2023-04-10