2011结构工程师第15章-钢结构考点习题(7)
更新时间:2010-10-26 11:11:34
来源:|0
浏览
收藏
结构工程师报名、考试、查分时间 免费短信提醒
例:
1.承压型高强螺栓连接可用于( )。
A.直接承受动力荷载的结构B.承受反复荷载作用的结构
C.承受静力荷载或间接动力荷载的结构D.薄壁型钢结构
【解】本题考螺栓材料的选用,承压型高强螺栓连接不应用于直接承受动力荷载的结 构,故应选C项。
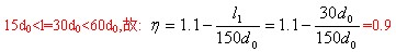
2.某杆件与节点板采用22个M24的螺栓连接,沿受力方向分两排按最小间距(3d0)排列,螺栓的承载力折减系数是( )。
A. 0.75 B. 0.80 C. 0.85 D. 0.90
解:每排为11个,连接长度: l=10×3do=30d0
2010结构工程师考试成绩查询汇总 2010年结构工程师考后交流正热
2011结构工程师考试辅导招生简章 2011年度结构工程师考试时间确定
所以应选D项。
编辑推荐
最新资讯
- 2025年一级注册结构工程师考前实战试题解析:突破考试瓶颈的终极指南‌2025-10-13
- 2025年一级注册结构工程师常考知识点2025-02-17
- 2025年二级注册结构工程师高频知识点2025-02-17
- 2024年度二级注册结构工程师专业考试资料:规范、标准、规程2024-08-13
- 2024年度一级注册结构工程师专业考试资料:规范、标准、规程2024-08-13
- 环球网校双11预售开启!定金百倍膨胀,直播再返现金2023-10-25
- 环球网校结构工程师双11活动来啦,限时优惠!2023-10-25
- 注册结构工程师考试大纲下载2023-05-16
- 2023年一级注册结构工程师考试大纲内容2023-04-14
- 2023年结构工程师教材内容变动对比2023-04-10