2011结构工程师第16章-砌体结构辅导[22]
更新时间:2010-11-03 14:09:28
来源:|0
浏览
收藏
结构工程师报名、考试、查分时间 免费短信提醒
3.轴向力偏心距e的限值
荷载较大和偏心距较大的构件,随着偏心距的增大和受压区高度明显减小,在使用阶 段时,砌体受拉边缘已产生较宽的水平裂缝,构件刚度降低,纵向弯曲影响增加,承载力显著下降。故规范规定,按荷载设计值计算的轴向力的偏心距e应符合下列限值要求,即
e≤0.6y (16-3—8)
式中 y-----------截面重心至轴向力所在偏心方向截面边缘的距离。
4.双向偏心受压构件
当轴向压力在矩形截面的两个主轴方向都有偏心距,或同时承受轴心压力及两个方向弯矩的构件,即为双向偏心受压构件。
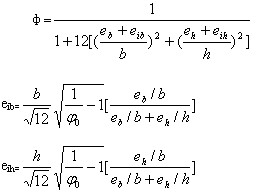
双向偏心受压构件的截面承载力计算比较复杂,采用附加偏心距法,即截面承载力仍按单向偏心受压公式计算,而承载力的影响系数则要考虑两个方向偏心距的影响,可按下式计算:

式中 eb、eh--轴向力在截面重心x轴、y轴方向的偏心距,eb、eh宜分别不大于0.5x和0.5y;
x、y——自截面重心沿x轴、y轴至轴向力所在偏心方向截面边缘的距离;
eib、ei---铀向力在截面重心x轴、y轴方向的附加偏心距;
用附加偏心距法作分析还表明,当截面一个方向的偏心率(eb/b或,eh/h)不大于另一个方向的偏心率的5%时,可简化按另一个方向的单向偏心受压确定其承载力,影响系数φ可按本节式(16-3-3)的规定计算,承载力的计算误差小于5%。
2010结构工程师考试成绩查询汇总 2010年结构工程师考后交流正热
2011结构工程师考试辅导招生简章 2011年度结构工程师考试时间确定
编辑推荐
最新资讯
- 2025年一级注册结构工程师考前实战试题解析:突破考试瓶颈的终极指南‌2025-10-13
- 2025年一级注册结构工程师常考知识点2025-02-17
- 2025年二级注册结构工程师高频知识点2025-02-17
- 2024年度二级注册结构工程师专业考试资料:规范、标准、规程2024-08-13
- 2024年度一级注册结构工程师专业考试资料:规范、标准、规程2024-08-13
- 环球网校双11预售开启!定金百倍膨胀,直播再返现金2023-10-25
- 环球网校结构工程师双11活动来啦,限时优惠!2023-10-25
- 注册结构工程师考试大纲下载2023-05-16
- 2023年一级注册结构工程师考试大纲内容2023-04-14
- 2023年结构工程师教材内容变动对比2023-04-10