[结构工程师]结构力学考点辅导第一节-24
更新时间:2010-11-23 09:51:02
来源:|0
浏览
收藏
结构工程师报名、考试、查分时间 免费短信提醒
(二)位移计算的简化(实用)公式
根据理论分析和实验测定,对比较细长的受弯杆件(杆件截面高度h与杆长l之比<1/5时)来讲,式(3—4)中弯曲变形引起的位移是主要的,而轴向变形、剪切变形对位移的影响较小,一般可忽略不计,于是可得位移的简化计算公式为:
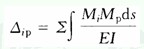
1.梁和刚架
(3—6)
2.组合结构
(3—7)
3.曲杆和拱
只有当可以忽略杆件的曲率对位移的影响时(当杆件的曲率半径R与杆件的截面高度h之比>5时,可忽略曲率的影响),才能近似地应用式(3-4)计算曲杆和拱的位移。计算比较表明,对于薄拱,剪切变形对位移的影响常可忽略不计;当拱轴线与合理拱轴比较接近,或计算扁平拱(f
(3—8)
而对于一般的拱和曲杆,通常只要考虑弯曲变形的影响。
2010结构工程师考试成绩查询汇总 2010年结构工程师考后交流正热
2011结构工程师考试辅导招生简章 2011年度结构工程师考试时间确定
编辑推荐
最新资讯
- 2025年一级注册结构工程师考前实战试题解析:突破考试瓶颈的终极指南‌2025-10-13
- 2025年一级注册结构工程师常考知识点2025-02-17
- 2025年二级注册结构工程师高频知识点2025-02-17
- 2024年度二级注册结构工程师专业考试资料:规范、标准、规程2024-08-13
- 2024年度一级注册结构工程师专业考试资料:规范、标准、规程2024-08-13
- 环球网校双11预售开启!定金百倍膨胀,直播再返现金2023-10-25
- 环球网校结构工程师双11活动来啦,限时优惠!2023-10-25
- 注册结构工程师考试大纲下载2023-05-16
- 2023年一级注册结构工程师考试大纲内容2023-04-14
- 2023年结构工程师教材内容变动对比2023-04-10