[结构工程师]结构力学考点辅导第一节-36
更新时间:2010-11-25 09:22:28
来源:|0
浏览
收藏
结构工程师报名、考试、查分时间 免费短信提醒
三、超静定结构的位移计算
超静定结构的位移计算仍应用变形体系虚功原理和单位荷载法。在具体计算时,为了 使计算简便,其虚设状态(即单位力状态)可采用原超静定结构的任一静定基本结构。位 移计算的一般公式如下。
(一)荷载作用引起的位移计算公式
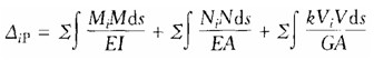
(4—3)
(二)温度变化引起的位移计算公式
(4—4)
(三)支座位移引起的位移计算公式
(4—5)
上面三式中的Mi、Ni、Vi和Ri为虚设状态(原超静定结构的静定基本结构)的弯矩、轴力、剪力和支座反力;M、N、V、Mt、Nt、Vt、Mc、Nc、Vc分别为原超静定结构在荷载、温度变化、支座位移作用下产生的弯矩、轴力、剪力。
与静定结构一样,在符合一定的条件时,超静定结构的位移计算也可采用简化(实用)计算公式,以及采用图形相乘法代替积分计算。
2010结构工程师考试成绩查询汇总 2010年结构工程师考后交流正热
2011结构工程师考试辅导招生简章 2011年度结构工程师考试时间确定
编辑推荐
最新资讯
- 2025年一级注册结构工程师考前实战试题解析:突破考试瓶颈的终极指南‌2025-10-13
- 2025年一级注册结构工程师常考知识点2025-02-17
- 2025年二级注册结构工程师高频知识点2025-02-17
- 2024年度二级注册结构工程师专业考试资料:规范、标准、规程2024-08-13
- 2024年度一级注册结构工程师专业考试资料:规范、标准、规程2024-08-13
- 环球网校双11预售开启!定金百倍膨胀,直播再返现金2023-10-25
- 环球网校结构工程师双11活动来啦,限时优惠!2023-10-25
- 注册结构工程师考试大纲下载2023-05-16
- 2023年一级注册结构工程师考试大纲内容2023-04-14
- 2023年结构工程师教材内容变动对比2023-04-10