[结构工程师]结构力学考点辅导第一节-37
更新时间:2010-11-25 09:25:42
来源:|0
浏览
收藏
结构工程师报名、考试、查分时间 免费短信提醒
四、超静定结构内力图的校核
超静定结构的内力图必须同时满足静力平衡条件和原结构的变形条件。
1.平衡条件校核
根据求得的反力和内力,取整个结构或结构的任一部分为隔离体,校核其是否满足静 力平衡条件。
2.变形条件校核
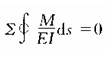
根据已求得的内力计算超静定结构的位移,校核其是否与原结构的已知位移条件一致。 对于具有无铰闭合外形的结构,在荷载作用下,校核任一切断截面两侧的相对转角时,位移条件的校核公式可简化为
(4—6)
2010结构工程师考试成绩查询汇总 2010年结构工程师考后交流正热
2011结构工程师考试辅导招生简章 2011年度结构工程师考试时间确定
编辑推荐
最新资讯
- 2025年一级注册结构工程师考前实战试题解析:突破考试瓶颈的终极指南‌2025-10-13
- 2025年一级注册结构工程师常考知识点2025-02-17
- 2025年二级注册结构工程师高频知识点2025-02-17
- 2024年度二级注册结构工程师专业考试资料:规范、标准、规程2024-08-13
- 2024年度一级注册结构工程师专业考试资料:规范、标准、规程2024-08-13
- 环球网校双11预售开启!定金百倍膨胀,直播再返现金2023-10-25
- 环球网校结构工程师双11活动来啦,限时优惠!2023-10-25
- 注册结构工程师考试大纲下载2023-05-16
- 2023年一级注册结构工程师考试大纲内容2023-04-14
- 2023年结构工程师教材内容变动对比2023-04-10