[结构工程师]结构力学考点辅导第一节-39
更新时间:2010-11-25 09:32:18
来源:|0
浏览
收藏
结构工程师报名、考试、查分时间 免费短信提醒
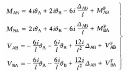
(二)两端固定的平面等截面直杆(图4—6a)
(4—8)
式中 i = EI/l称为线刚度。杆端截面转角θA、θB、弦转角β = ΔAB/l,杆端弯矩MAB、MBA,固端弯矩MABF、MBAF均以顺时针向转动为正。杆端剪力QAB、QBA,固端剪力QABF、QBAF均以绕隔离体顺时针向转动为正。图4—6所示杆端位移、杆端弯矩、杆端剪力的方向均为正号。

图4-6
2010结构工程师考试成绩查询汇总 2010年结构工程师考后交流正热
2011结构工程师考试辅导招生简章 2011年度结构工程师考试时间确定
编辑推荐
最新资讯
- 2025年一级注册结构工程师考前实战试题解析:突破考试瓶颈的终极指南‌2025-10-13
- 2025年一级注册结构工程师常考知识点2025-02-17
- 2025年二级注册结构工程师高频知识点2025-02-17
- 2024年度二级注册结构工程师专业考试资料:规范、标准、规程2024-08-13
- 2024年度一级注册结构工程师专业考试资料:规范、标准、规程2024-08-13
- 环球网校双11预售开启!定金百倍膨胀,直播再返现金2023-10-25
- 环球网校结构工程师双11活动来啦,限时优惠!2023-10-25
- 注册结构工程师考试大纲下载2023-05-16
- 2023年一级注册结构工程师考试大纲内容2023-04-14
- 2023年结构工程师教材内容变动对比2023-04-10