[结构工程师]结构力学考点辅导第一节-40
更新时间:2010-11-25 09:39:40
来源:|0
浏览
收藏
结构工程师报名、考试、查分时间 免费短信提醒
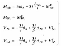
(三)一端固定另一端铰支的平面等截面直杆(图4-6b)
(4—9)
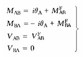
(四)一端固定另一端定向(滑动)支座的平面等截面直杆(图4-6c)
(4—10)
式(4—9)、(4—10)中各符号的意义及正、负号规定均与式(4—8)相同。式(4—8)、(4—9)、(4—10)称为前述各相应杆件的转角位移方程,式中含有θA、θB、ΔAB的各项分别代表该项杆端位移引起的杆端弯矩和杆端剪力,其前面的系数称为杆件的刚度系数,它们只与杆件的长度l、支座形式和抗弯刚度EI有关,又称为形常数。而固端弯矩、固端剪力则为仅由荷载产生的杆端弯矩、杆端剪力,它们均与荷载有关,几种常见荷载产生的固端弯矩和固端剪力见表4—1。
等截面直杆的固端弯矩和固端剪力 表4—1

2010结构工程师考试成绩查询汇总 2010年结构工程师考后交流正热
2011结构工程师考试辅导招生简章 2011年度结构工程师考试时间确定
编辑推荐
最新资讯
- 2025年一级注册结构工程师考前实战试题解析:突破考试瓶颈的终极指南‌2025-10-13
- 2025年一级注册结构工程师常考知识点2025-02-17
- 2025年二级注册结构工程师高频知识点2025-02-17
- 2024年度二级注册结构工程师专业考试资料:规范、标准、规程2024-08-13
- 2024年度一级注册结构工程师专业考试资料:规范、标准、规程2024-08-13
- 环球网校双11预售开启!定金百倍膨胀,直播再返现金2023-10-25
- 环球网校结构工程师双11活动来啦,限时优惠!2023-10-25
- 注册结构工程师考试大纲下载2023-05-16
- 2023年一级注册结构工程师考试大纲内容2023-04-14
- 2023年结构工程师教材内容变动对比2023-04-10