[结构工程师]结构力学考点辅导第一节-65
更新时间:2010-12-01 09:33:42
来源:|0
浏览
收藏
结构工程师报名、考试、查分时间 免费短信提醒
二、单自由度无阻尼自由振动方程、自振周期和自振频率
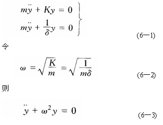
设y为沿质量m自由度方向某一时刻t的动力位移,则由达朗伯原理,得单自由度体系无阻尼自由振动方程为

式(6—1)中的
为惯性力;Ky为体系的弹性力,K(或δ)为体系在集中质量处沿其自由度方向的刚度(或柔度)系数。
设初位移为y0,初速度为
,则式(6—3)的解为
6—4)
或
y=Asin(ωt+φ) (6—5)
式中 A为振幅,φ为初相角。
(6—6)
T即为自振周期,自振周期的倒数称为频率,记作f:
f=1/T (6—7)
f表示单位时间内的振动次数,常用单位为1/s,或称为赫兹(Hz)。
ω称为圆频率或角频率(有时习惯上也称为频率),ω的单位为弧度/s。
自振频率ω的计算公式(6—2)又可表示为

式中 W=mg为质量m的重量,g为重力加速度,Δst是体系在质量m处沿其自由度方向由重量W产生的静力位移。
从式(6—8)、(6—9)可知,结构的自振频率和自振周期只与结构的质量和刚度有关,它们是结构很重要的动力特性参数。只要改变结构的质量和刚度,就能改变结构的自振频率或自振周期。在质量相同的条件下,增大结构的刚度,频率也随之增大。

图6-2
2010结构工程师考试成绩查询汇总 2010年结构工程师考后交流正热
2011结构工程师考试辅导招生简章 2011年度结构工程师考试时间确定
编辑推荐
最新资讯
- 2025年一级注册结构工程师考前实战试题解析:突破考试瓶颈的终极指南‌2025-10-13
- 2025年一级注册结构工程师常考知识点2025-02-17
- 2025年二级注册结构工程师高频知识点2025-02-17
- 2024年度二级注册结构工程师专业考试资料:规范、标准、规程2024-08-13
- 2024年度一级注册结构工程师专业考试资料:规范、标准、规程2024-08-13
- 环球网校双11预售开启!定金百倍膨胀,直播再返现金2023-10-25
- 环球网校结构工程师双11活动来啦,限时优惠!2023-10-25
- 注册结构工程师考试大纲下载2023-05-16
- 2023年一级注册结构工程师考试大纲内容2023-04-14
- 2023年结构工程师教材内容变动对比2023-04-10