[结构工程师]结构力学考点辅导第一节-66
更新时间:2010-12-01 09:38:12
来源:|0
浏览
收藏
结构工程师报名、考试、查分时间 免费短信提醒
三、单自由度体系无阻尼强迫振动
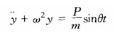
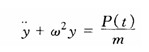
设在质量m处沿质量自由度方向作用一般动力荷载P(t),则由达朗伯原理,可得运动微分方程为
(6—10)
下面讨论常见动力荷载简谐荷载作用时结构的动力反应。
将简谐荷载 P(t) =P sinθt式(6—10),这里P为荷载的幅值(最大值),θ为简谐荷载的圆频率,得
(6—11)
设在t=0时体系的初始位移和初始速度均等于零,则式(6—11)的通解为
(6—12)
式中
(6—13)
为结构的最大静力位移,即将动荷载的最大值P作为静荷载作用时结构所产生的位移。
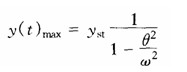
由式(6—12)可知,振动由两部分合成,第一部分按荷载频率θ振动,称为稳态强迫振动;第二部分按结构自振频率ω振动,称为伴生自由振动。实际问题中,稳态强迫振动较为重要。稳态强迫振动的最大位移(振幅)为
(6—14)
最大动力位移y(t)max与最大静力位移yst的比值称为位移动力系数,用μ表示,即
(6—15)
位移动力系数μ与频率比θ/ω的关系曲线如图6—6所示。当θ/ω <1时,μ为正,表示动力位移与动力荷载的指向一致。当θ/ω >1时,μ为负值,表示动力位移与动力荷载指向相反,这仅在不计阻尼时出现。既然位移随时间作简谐变化,而工程设计中,往往要求的是振幅绝对值,可不考虑μ的正负号,故图6—6的纵坐标采用μ的绝对值。
2010结构工程师考试成绩查询汇总 2010年结构工程师考后交流正热
2011结构工程师考试辅导招生简章 2011年度结构工程师考试时间确定
编辑推荐
最新资讯
- 2025年一级注册结构工程师考前实战试题解析:突破考试瓶颈的终极指南‌2025-10-13
- 2025年一级注册结构工程师常考知识点2025-02-17
- 2025年二级注册结构工程师高频知识点2025-02-17
- 2024年度二级注册结构工程师专业考试资料:规范、标准、规程2024-08-13
- 2024年度一级注册结构工程师专业考试资料:规范、标准、规程2024-08-13
- 环球网校双11预售开启!定金百倍膨胀,直播再返现金2023-10-25
- 环球网校结构工程师双11活动来啦,限时优惠!2023-10-25
- 注册结构工程师考试大纲下载2023-05-16
- 2023年一级注册结构工程师考试大纲内容2023-04-14
- 2023年结构工程师教材内容变动对比2023-04-10