2012年财务与会计 预习指导:第四章(14)
更新时间:2012-03-13 09:32:53
来源:|0
浏览
收藏
税务师报名、考试、查分时间 免费短信提醒
二.每股收益无差别点法$lesson$
利用息税前利润和每股利润之间的关系来确定最优资金结构的方法。
1。每股收益无差别点法的含义:
每股收益无差别点----指每股收益不受融资方式影响的息税前利润或销售水平。
【提示】在每股收益无差别点上,无论是采用负债融资,还是采用权益融资,每股收益都是相等的。
【例题3?多选题】(2009年)
在采用每股收益无差别点分析法选择最佳资金结构融资方案时,与每股收益关系最直接的指标有( )。
A.销售额 B.息税前利润 C.净利润 D.变动成本总额 E.固定成本总额
【答案】AB
【解析】每股收益无差别点是指每股收益不受融资方式影响的息税前利润水平或销售额水平。
2.每股收益无差别点的计算:
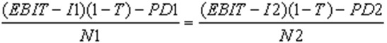
每股收益无差别点息税前利润:
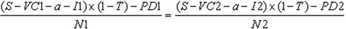
每股收益无差别点的销售额:

EBIT--息税前利润,I--每年支付的利息,T--所得税税率
PD--优先股股利,N--普通股股数
能使得上述条件公式成立的EBIT为每股盈余无差别点EBIT。


3。决策原则:
当预计的EBIT高于每股收益无差别点的EBIT时,运用负债筹资可获得较高的每股利润;当预计的EBIT低于每股收益无差别点的EBIT时,运用权益筹资可获得较高的每股利润。
在每股利润无差别点上, 无论是采用负债融资,还是采用权益融资,每股利润都是相等的。
计算公式: EPS权益=EPS负债

2012年注册税务师考试辅导招生简章 (复习指南)(报名汇总)(免费试听)
编辑推荐
最新资讯
- 2026年税务师考试教材发布时间预测及变动分析:5月中旬发布,税法一变动或达30%2026-03-10
- 税务师考试教材什么时候出 每年变化大吗2026-02-27
- 税务师考试教材每年都会变动吗 2026年会大变吗?2026-02-24
- 2026年税务师考试大纲变动解析汇总(共5科)2026-02-24
- 2026税务师考试教材何时发布,一般在几月份2026-02-05
- 2026税务师考试教材几月份上市,共有几本?2026-01-30
- 2026税务师教材什么时候出2026-01-07
- 2025年税务师考前几页纸,再看一遍,上考场!2025-11-14
- 考前回顾!2025年税务师税法二52个必背公式2025-11-13
- 考前强化记忆!2025年税务师税法一87个必背公式2025-11-12