09年经济师《中级工商》考前冲刺辅导第七章(12)
更新时间:2009-11-05 11:23:23
来源:|0
浏览
收藏
2. 贴现现金流量指标转自环 球 网 校edu24ol.com
贴现现金流量指标是指考虑了资金的时间价值,并将未来各年的现金流量统一折算为现时价值后,再进行分析评价的指标。
三种方法:
(1) 净现值法(NPV)??掌握
净现值法(NPV)是指把投资项目每年能产生的净现金流量,按资本成本或企业要求达到的报酬率(资金时间价值)折算为现值,再减去初始投资后的余额。
计算方法:
首先,计算各年的营业现金净流量,即
营业现金净流量=现金流入-现金流出
一般为收入-付现成本或运营成本-所得税,注意最末一年有无残值,若有,残值也算最末一年的收入。
其次,将各年的营业现金净流量乘以各自相应的折现系数折算为现值。折现系数可通过年金现值系数表查出。但应注意:投资项目的期初是从第0期算起,所以第一年的净现金流量的系数就是1/(1+k)1,第二年的就是1/(1+k)2,第三年的就是1/(1+k)3······等等。
最后,把各年的净现金流量的折现值加总后再减去初始投资,即可求出净现值NPV。

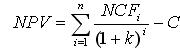
式中,NPV-净现值;NCFi-第i年的净现金流量;k-贴现率(资本成本或企业要求的报酬率);n-项目预计使用年限;C-初始投资额。
决策准则:当只选择一个投资方案时,净现值NPV大于0,可行;净现值NPV小于0,则不可行;当在多个互斥方案中选择时,NPV最大者为最优方案。所谓的“互斥”就是指选择了一个方案就不能再选择其它方案。
优点:考虑了资金的时间价值,能反映各方案的净收益。
缺点:不能揭示各方案本身可能达到的实际报酬率转自环 球 网 校edu24ol.com
编辑推荐
最新资讯
- 2020年初中级经济师《经济基础》章节考点汇总2019-11-15
- 2019年初中级经济师《工商管理》考点汇总2019-10-17
- 2019年初中级经济师《金融经济》考点汇总2019-10-15
- 2019年初中级经济师《建筑经济》考点汇总2019-10-15
- 2019年初中级经济师《财政税收专业》考点汇总(10月12日更新)2019-10-12
- 2019年初中级经济师《经济基础》考点汇总2019-10-10
- 2019年经济师考试这12个公式必备!2019-09-10
- 2019年全国经济师考试教材正式出版!2019-07-09
- 2019年经济师考试备考必背公式集合汇总2019-04-25
- 2019年经济师考试备考必背公式集合三2019-04-25


