09经济师《中级经济基础》数据特征测度(2)
更新时间:2009-10-19 15:27:29
来源:|0
浏览
收藏
n为奇数:中位数位置是 ,该位置所对应的数值就是中位数数值。
n为偶数:中位数位置是介于 和( +1)之间,中位数数值就是 所对数值和( +1)所对应数值的算术平均数。
具体计算见教材例题:
3、中位数主要用于顺序数据,也适用于数值型数据,但不适用于分类数据,中位数也是一个位置代表值,不受极端值的影响,抗干扰性强。

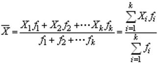
(2)加权算术平均数
加权算术平均数主要用于处理经分组整理的数据。加权算术平均数的计算公式为:

Xi――各组的组中值
fi――各组的频数
见教材例题
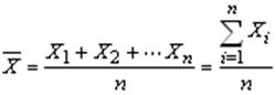
3、计算和运用算术平均数注意事项:
(1)算术平均数同时受到两个因素的影响:各组数值的大小、各组分布频数的多少。频数在算术平均数中起着权衡轻重的作用。
(2)算术平均数易受极端值的影响。
编辑推荐
最新资讯
- 2020年初中级经济师《经济基础》章节考点汇总2019-11-15
- 2019年初中级经济师《工商管理》考点汇总2019-10-17
- 2019年初中级经济师《金融经济》考点汇总2019-10-15
- 2019年初中级经济师《建筑经济》考点汇总2019-10-15
- 2019年初中级经济师《财政税收专业》考点汇总(10月12日更新)2019-10-12
- 2019年初中级经济师《经济基础》考点汇总2019-10-10
- 2019年经济师考试这12个公式必备!2019-09-10
- 2019年全国经济师考试教材正式出版!2019-07-09
- 2019年经济师考试备考必背公式集合汇总2019-04-25
- 2019年经济师考试备考必背公式集合三2019-04-25


