2010年中级工商:人力资源规划与员工招聘(3)
3.转换比率分析法:是根据过去的业务活动量水平,计算出每一业务活动量所需的人员的相应增量,再把对实现未来目标的业务活动增量按计算出的比例关系,折算成总的人员需求增量,最后把总的人员需求量按比例折算成各类人员的需求量。
例见书P207。
第一步:历史业务量与人员增量关系:每增加1000万元销额需增15人;
第二步:预测业务增量(1亿元)与需增人数:1亿/1000万*15=150人;
第三步:按比例确定每一业务的人员增量:
因为:管理:销售:后勤=1:5:2(已知)
管理 +销售 +后勤=150人
所以:管理人员增量为:150☓(1/8)=18.75,即19人,
销售人员增量为: 150☓(5/8)=94人
后勤人员增量为: 150☓(28)=37
该方法的关键点是找出企业业务增量与人力资源增量和企业主体人员与辅助人员的比例关系,由此才能推断出企业各类人员的需求量. 转自环球网校edu24ol.com
再例:P236页第1题
解:(5000/1000)☓20=100人
100☓(6/(1+6+2))=100☓(6/9)=67人。
4.回归分析法
人力资源的需求量(Y)通常总是和某个(一元)或某些因素(多元)(X)高度相关,在这种情况下就可以用数理统计的方法定量地把这种关系表示出来,得到一个回归方程,再利用此方程就可预测出人力资源的需求量。这一方法的关键在于找出与人力资源需求高度相关的变量。
一元线性回归分析法的步骤:
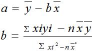
首先,利用所给资料数据确定回归方程Y=a+bX中的回归系数a与b,其中,

Xi为自变量第i期的实际值,Yi为因变量第i期的实际值
比如,P208页的例子中,商场所需销售人员就和销售额高度正相关,所以销售额就成为自变量X,所需销售人员就是要预测的量为因变量Y,二者的关系可写为:Y = a + bx,这时,就需要利用a、b的上述公式求出a和b(一般先求b,再根据b求a)
n=7,b=(114760-7×469×34)/(1645600-7×4692)=3138/105873=0.03
a=34-0.03×469=19.93
其次,写出以a、b的具体数值表示的回归方程,如Y=19.93+0.03X
最后,用上述回归模型(方程)进行预测。比如,当销售额X为1000万元时,所需销售人员数Y=19.93+0.03×1000=50人。
(05年考)某大型百货商场因扩大经营规模,需要对外招聘营业员。根据历史数据分析得知,营业员数量与商场营业规模成线性相关关系,回归系数a、b分别为25.12、10.25。去年商场实现营业额10亿元,有营业员120名。今年商场计划实现营业额12亿。
请根据上述资料,回答下列问题:
89.今年商场需要招聘新营业员( )名。
A.24 B.29
C.35 D.39
Y=25.12+10.25X, 把X=12亿代入方程,Y=25.12+10.25×12=148.12,
149-120=29
91.如果值班经理与营业员的比例关系为1:30,那么该商场今年共需要( )名值班经理。
A.4 B.5
C.6 D.7
149/30=5
最新资讯
- 2020年初中级经济师《经济基础》章节考点汇总2019-11-15
- 2019年初中级经济师《工商管理》考点汇总2019-10-17
- 2019年初中级经济师《金融经济》考点汇总2019-10-15
- 2019年初中级经济师《建筑经济》考点汇总2019-10-15
- 2019年初中级经济师《财政税收专业》考点汇总(10月12日更新)2019-10-12
- 2019年初中级经济师《经济基础》考点汇总2019-10-10
- 2019年经济师考试这12个公式必备!2019-09-10
- 2019年全国经济师考试教材正式出版!2019-07-09
- 2019年经济师考试备考必背公式集合汇总2019-04-25
- 2019年经济师考试备考必背公式集合三2019-04-25


