2010年《中级金融》辅导:金融资产定价(1)
更新时间:2010-06-22 14:09:07
来源:|0
浏览
收藏
一、利率与金融资产定价
有价证券的价格实际上是以一定市场利率和预期收益率为基础计算得出的现值。
(一)票据定价
平价发行
溢价发行
折价发行转自环球网校edu24ol.com
票据的交易价格主要取决于市场利率,因而交易价格就是指面值扣除利息后的金额。一般按单利计算。

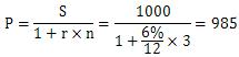
【例题1,计算题】有一张是三个月期限面值1000元的票据,如果年利率6%,不计复利,该票据的交易价格是多少?
答案:
票据在持有期如遇贴现,则票据的贴现价格就是票面额扣除贴息以后的金额。用公式表示为:
其中,A为票面额,d为贴现率,n为贴现期限。
如某人持有为期3个月票面额100万元票据,1个月后要求金融机构贴现,当时贴现率为6%,则该票据的贴现价格为:
P=100万元-100万元×6%×2/12=99万元(贴现期限为2个月)
编辑推荐
最新资讯
- 2020年初中级经济师《经济基础》章节考点汇总2019-11-15
- 2019年初中级经济师《工商管理》考点汇总2019-10-17
- 2019年初中级经济师《金融经济》考点汇总2019-10-15
- 2019年初中级经济师《建筑经济》考点汇总2019-10-15
- 2019年初中级经济师《财政税收专业》考点汇总(10月12日更新)2019-10-12
- 2019年初中级经济师《经济基础》考点汇总2019-10-10
- 2019年经济师考试这12个公式必备!2019-09-10
- 2019年全国经济师考试教材正式出版!2019-07-09
- 2019年经济师考试备考必背公式集合汇总2019-04-25
- 2019年经济师考试备考必背公式集合三2019-04-25

