2010年《中级金融》辅导:金融资产定价(2)
更新时间:2010-06-22 14:09:14
来源:|0
浏览
收藏
(二)债券定价
有价证券交易价格主要依据货币的时间价值即未来收益的现值确定。利率与证券的价格成反比关系,这一关系适用于所有的债券工具。利率上升,证券价格就会下降;利率下降,证券价格就会提高。
债券价格分债券发行价格和流通转让价格两种。转自环球网校edu24ol.com
债券在二级市场上的流通转让价格依不同的经济环境决定,但有一个基本的“理论价格”决定公式,它由债券的票面金额、票面利率和实际持有期限三个因素决定。
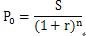
1. 到期一次还本付息债券定价
![]()
其中,P0为债券交易价格;r为利率或贴现率;n为债券日期或偿还期限;s为期值或到期日本金与利息之和。
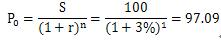
【例题2,计算题】假若金额为100元一张债券,不支付利息,贴现出售,期限1年,收益率为3%,到期一次归还。则该张债券的交易价格为:
![]()
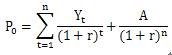
2. 分期付息到期归还本金债券定价
债券价格=利息折现+本金到期折现
按年收益率每年付息一次的债券定价公式如下:

式中,A为债券面额,即n年到期所归还的本金;
Yt为第t时期债券收益或息票利率,通常为债券年收益率;
r为市场利率或债券预期收益率;
n为债券日期或偿还期限。
编辑推荐
最新资讯
- 2020年初中级经济师《经济基础》章节考点汇总2019-11-15
- 2019年初中级经济师《工商管理》考点汇总2019-10-17
- 2019年初中级经济师《金融经济》考点汇总2019-10-15
- 2019年初中级经济师《建筑经济》考点汇总2019-10-15
- 2019年初中级经济师《财政税收专业》考点汇总(10月12日更新)2019-10-12
- 2019年初中级经济师《经济基础》考点汇总2019-10-10
- 2019年经济师考试这12个公式必备!2019-09-10
- 2019年全国经济师考试教材正式出版!2019-07-09
- 2019年经济师考试备考必背公式集合汇总2019-04-25
- 2019年经济师考试备考必背公式集合三2019-04-25

