2010年《中级经济基础》:时间序列(3)
更新时间:2010-08-19 10:36:26
来源:|0
浏览
收藏
二、平均发展水平
平均发展水平也称序时平均数或动态平均数,是对时间序列中各时期发展水平计算的平均数,它可以概括性描述现象在一段时期内所达到的一般水平。
(一).绝对数时间序列序时平均数的计算
1、由时期序列计算序时平均数:就是简单算术平均数。
2、由时点序列计算序时平均数:
(1)第一种情况,由连续时点(逐日登记)计算。又分为两种情形。
①资料逐日排列且每天登记。即已掌握了整段考察时期内连续性的时点数据,可采用简单算术平均数的方法计算。
②资料登记的时间单位仍然是1天,但实际上只在指标值发生变动时才记录一次。此时需采用加权算术平均数的方法计算序时平均数,权数是每一指标值的持续天数。
(2)第二种情况,由间断时点(不逐日登记)计算。又分为两种情形。
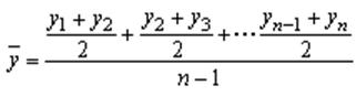
①每隔一定的时间登记一次,每次登记的间隔相等。间隔相等的间断时点序列序时平均数的计算公式为:

间断相等的间断时点序列序时平均数的计算思想是“两次平均”:先求各个时间间隔内的平均数,再对这些平均数进行简单算术平均。
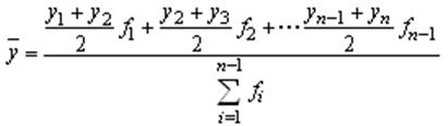
②每隔一定的时间登记一次,每次登记的间隔不相等。间隔不相等的间断时点序列序时平均数的计算公式为:

间隔不相等的间断时点序列序时平均数的计算也采用“两次平均”的思路,且第一次的平均计算与间隔相等的间断序列相同;进行第二次平均时,由于各间隔不相等,所以应当用间隔长度作为权数,计算加权算术平均数。
环球网校2010年经济师考试网络辅导热招中 转自环 球 网 校edu24ol.com
编辑推荐
最新资讯
- 2020年初中级经济师《经济基础》章节考点汇总2019-11-15
- 2019年初中级经济师《工商管理》考点汇总2019-10-17
- 2019年初中级经济师《金融经济》考点汇总2019-10-15
- 2019年初中级经济师《建筑经济》考点汇总2019-10-15
- 2019年初中级经济师《财政税收专业》考点汇总(10月12日更新)2019-10-12
- 2019年初中级经济师《经济基础》考点汇总2019-10-10
- 2019年经济师考试这12个公式必备!2019-09-10
- 2019年全国经济师考试教材正式出版!2019-07-09
- 2019年经济师考试备考必背公式集合汇总2019-04-25
- 2019年经济师考试备考必背公式集合三2019-04-25

