2010年《中级经济基础》:时间序列(4)
更新时间:2010-08-20 10:45:30
来源:|0
浏览
收藏
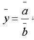
(二).相对数或平均数时间序列序时平均数的计算
相对数或平均数时间序列是派生数列,相对数或平均数通常是由两个绝对数对比形成的。必须分别求出分子指标和分母指标时间序列的序时平均数,然后再进行对比,用公式表示如下:

三、增长量与平均增长量
1.增长量:报告期发展水平与基期发展水平之差,反映报告期比基期增加(减少)的绝对数量。
用公式表示为:增长量=报告期水平-基期水平
(1)逐期增长量-----报告期水平与前一期水平之差
(2)累计增长量-----报告期水平与某一固定时期(时间序列最初水平)水平之差。
同一时间序列中,累计增长量等于相应时期逐期增长量之和。
例如:某地区2000~2004年钢材使用量(单位:万吨)如下:
|
年 份 |
2000 |
2001 |
2002 |
2003 |
2004 |
|
使用量 |
1 |
2 |
4 |
5 |
8 |
逐期增长量分别是:2-1=1万吨;4-2=2万吨;5-4=1万吨;8-5=3万吨
累计增长量是:8-1=7万吨
累计增长量7万吨=逐期增长量之和(1+2+1+3)
2.平均增长量
平均增长量是时间序列中逐期增长量的序时平均数,它表明现象在一定时段内平均每期增加(减少)的数量。其计算公式为:

环球网校2010年经济师考试网络辅导热招中 转自环 球 网 校edu24ol.com
编辑推荐
最新资讯
- 2020年初中级经济师《经济基础》章节考点汇总2019-11-15
- 2019年初中级经济师《工商管理》考点汇总2019-10-17
- 2019年初中级经济师《金融经济》考点汇总2019-10-15
- 2019年初中级经济师《建筑经济》考点汇总2019-10-15
- 2019年初中级经济师《财政税收专业》考点汇总(10月12日更新)2019-10-12
- 2019年初中级经济师《经济基础》考点汇总2019-10-10
- 2019年经济师考试这12个公式必备!2019-09-10
- 2019年全国经济师考试教材正式出版!2019-07-09
- 2019年经济师考试备考必背公式集合汇总2019-04-25
- 2019年经济师考试备考必背公式集合三2019-04-25

