《中级金融》金融资产定价复习资料(四)
(二)资本资产定价理论(CAPM)(熟悉)
资本资产定价模型是投资组合理论的均衡理论。该理论认为:理性的投资者总是追求投资者效用最大化,即在同等风险水平下的收益最大化或在同等收益水平下的风险最小化。
投资组合:由投资人或金融机构所持有的股票、债券、衍生金融产品等组成的集合。
投资组合理论是指:若干种证券组成的投资组合,其预期收益是这些证券收益的加权平均数,投资组合能降低非系统性风险。
1、创始人为马科维茨奠定了理论框架;夏普首先提出资本资产定价理论;米勒和莫顿完善了资本资产定价理论,形成一套完整的理论体系。
2、基本假设(掌握):
(1)市场上存在一种无风险资产,投资者可以按无风险利率借出或借进任意数额的无风险资产;
(2)市场效率边界曲线只有一条;
(3)交易风险为零。
3、资本市场线(了解)
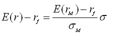
资本市场线(CML)指表明有效组合的期望收益率和标准差(表示风险)之间的一种简单的线性关系的一条射线。它是由风险资产和无风险资产构成的投资组合。

即市场利率(或投资组合的预期收益率)=无风险利率+风险利率
其中:rf为无风险收益率,E(rM)为投资组合的预期收益,σM为投资组合的标准差,σ为市场系统风险。

资本市场线表示对投资者而言是最好的风险收益组合。
CML表明:预期收益与风险正相关,即要谋求高收益,只能通过承担更大风险来实现。风险溢价的公式为:

[例]2006单选:马科维茨投资组合理论认为,证券组合中各成份证券的相关系数越小,证券组合的风险分散化效果( A )。
A.越好
B.越差
C.越难确定
D.越应引起关注
4、证券市场线(了解)
证券市场线(SML)是资本资产定价模型的图示形式, SML揭示了市场上所有风险性资产(单个资产)的均衡期望收益率与风险之间的关系。
单个证券风险用β值(β值测度的是单个证券的非系统风险)

其中[E(ri)-rf]是单个证券的风险溢价水平,[ E(rm) -rf]是市场投资组合的风险溢价水平。
5、资产风险(熟悉)
资产风险一般有系统风险和非系统风险
(1)系统风险是由宏观经济营运状况或市场结构所引致的风险,不可以通过风险分散规避的风险。资产定价模型中提供了测度系统风险的指标,即风险系数β
(2)非系统风险指具体经济单位自身投资和运营方式所引致的风险,是可以通过风险分散规避的风险,又称特有风险。
(3)β还可以衡量证券实际收益率对市场投资组合的实际收益率的敏感程度。
如果β>1,说明其收益率大于市场组合收益率,属“激进型”证券;
如果β<1,说明其收益率小于市场组合收益率,属“防卫型”证券;
如果β=1,说明其收益率等于市场组合收益率,属“平均型”证券;
6、资产定价理论的局限(了解)
(1)市场投资组合的不完全性
(2)市场存在交易成本
(3)仅从静态的角度研究资产定价的问题。
[例]2007单选:资本资产定价模型(CAPM)中的贝塔系数测度的是( C )。
A.利率风险B.通货膨胀风险
C.非系统性风险D.系统性风险
CAPM模型与其他模型的一个重大区别就是引入了能够测量单个资产风险特性的贝塔系数,它衡量的是在市场中这个资产的“个性”,如大盘下跌时它可能逆市上扬,也可能比大盘跌的还要快,这些都属于非系统性风险。
2008单选:如果某证券的β值为1.5,若市场投资组合的风险溢价水平为10%,则该证券的风险溢价水平为( B )。
A.5%
B.15%
C.50%
D.85%
解析:证券市场线的表达式:E(ri)-rf=[E(rm) -rf]*βi 其中[E(ri)-rf]是单个证券的风险溢价水平,[ E(rm) -rf]是市场投资组合的风险溢价水平。
E(ri)-rf =10%*1.5
解得:E(ri)-rf =15%
环球网校2011年经济师考试网络辅导热招中转自环 球 网 校edu24ol.com
最新资讯
- 2020年初中级经济师《经济基础》章节考点汇总2019-11-15
- 2019年初中级经济师《工商管理》考点汇总2019-10-17
- 2019年初中级经济师《金融经济》考点汇总2019-10-15
- 2019年初中级经济师《建筑经济》考点汇总2019-10-15
- 2019年初中级经济师《财政税收专业》考点汇总(10月12日更新)2019-10-12
- 2019年初中级经济师《经济基础》考点汇总2019-10-10
- 2019年经济师考试这12个公式必备!2019-09-10
- 2019年全国经济师考试教材正式出版!2019-07-09
- 2019年经济师考试备考必背公式集合汇总2019-04-25
- 2019年经济师考试备考必背公式集合三2019-04-25

