《中级金融》金融资产定价复习资料(五)
(三)期权定价理论(熟悉)
1973年布莱克和斯科尔斯提出了期权定价。
期权定价模型基于对冲证券组合的思想。投资者可建立期权与其标的股票的组合来保证确定报酬。
1、布莱克―斯科尔斯模型的基本假定
(1)无风险利率r为常数
(2)没有交易成本、税收和卖空限制,不存在无风险套利机会
(3)标的资产在期权到期前不支付股息和红利
(4)市场连续交易
(5)标的资产价格波动率为常数
(6)标的资产价格遵从布朗运动
2、布莱克―斯科尔斯模型的基本结构
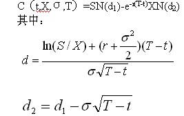
如果股票价格变化遵从几何布朗运动,那么欧式看涨期权的价格C为:

式中:S为股票价格,X为期权的执行价格,T-t为期权期限,r为无风险利率,e为自然对数的底,σ为股票价格波动率,N()表示正态分布变量的累积概率分布函数,N(d1) 和N(d2)为d1和 d2标准正态分布的概率。
[例]2005单选:有价证券理论价格计算的基础是一定市场利率和证券(C)。
A.交易量
B.现期收益
C.预期收益
D.交割量
2006单选:投资选择行为就是追求与风险相应的收益,这种行为就是( D )。
A.股票交易过程
B.委托买卖过程
C.资产组合过程
D.证券定价过程
2006单选:利率与有价证券价格呈( B)。
A.正相关关系
B.负相关关系
C.弱相关关系
D.零相关关系
2007案例分析题:2004年1月某企业发行一种票面利率为6%,每年付息一次,期限3年,面值l00元的债券。假设2004年1月至今的市场利率是4%。2007年1月,该企业决定永久延续该债券期限,即实际上实施了债转股,假设此时该企业的每股税后盈利是0.50,该企业债转股后的股票市价是22元。请根据以上资料回答下列问题:
1、2005年1月,该债券的购买价应是( B )。
A.90.2 元 B.103.8元
C.105.2元D.107.4元
解:6/(1+4%)+106/(1+4%)2=103.8
2、在债券发行时如果市场利率高于债券票面利率,则( BC )。
A.债券的购买价高于面值
B.债券的购买价低于面值
C.按面值出售时投资者对该债券的需求减少
D.按面值出售时投资者对该债券的需求增加
解:如果市场利率高于债券票面利率,债券只能折价发行,因而出现B情况,同时由于有了B,就会出现C。
3、债转股后的股票静态定价是( B )。
A.8.5元B.12.5元
C.22.0 D.30.0元
解:股票静态定价=每股税后盈利/市场利率=0.5/4%。
4、以2007年1月该股票的静态价格为基准,债转股后的股票当时市价( C )。
A.低估B.合理
C.高估D.不能确定
解:市场价格是22元,显然超过了静态价格近一倍,属于C。
5、按照2007年1月的市场状况,该股票的市盈率是( D )。
A.10倍B.24倍
C.30倍D.44倍
解:市盈率=市场价格/每股税后盈利=22/0.5=D。
环球网校2011年经济师考试网络辅导热招中转自环 球 网 校edu24ol.com
最新资讯
- 2020年初中级经济师《经济基础》章节考点汇总2019-11-15
- 2019年初中级经济师《工商管理》考点汇总2019-10-17
- 2019年初中级经济师《金融经济》考点汇总2019-10-15
- 2019年初中级经济师《建筑经济》考点汇总2019-10-15
- 2019年初中级经济师《财政税收专业》考点汇总(10月12日更新)2019-10-12
- 2019年初中级经济师《经济基础》考点汇总2019-10-10
- 2019年经济师考试这12个公式必备!2019-09-10
- 2019年全国经济师考试教材正式出版!2019-07-09
- 2019年经济师考试备考必背公式集合汇总2019-04-25
- 2019年经济师考试备考必背公式集合三2019-04-25

