2013年审计师《审计专业相关知识》考点:证券投资决策
一、债券投资决策
(一)债券投资的风险(共4种)
1.违约风险
指债券的发行人不能履行债券条款规定的义务,无法按期支付利息或偿还本金的风险。一般政府债券无违约风险
2.利率风险
指由于市场利率的变化引起债券价格变动而导致损失的风险。
【特别提示】:
市场利率上升时,债券市场价格下降;反之,则上升。
3.流动性风险
指债券是否能够顺利地按照目前合理的市场价格出售的风险。如果债券出售困难,投资者可能无法在需要的时候将债券投资变现,从而导致损失。
4.通货膨胀风险
指由于通货膨胀导致的债券利息以及到期兑现取得的现金购买力降低的风险。由于债券投资的现金流数额是固定的,货币贬值会导致其购买力下降。
(二)债券的估值
1.每期支付利息,到期归还本金的债券估值
V=I×PVIFAi,n+F×PVIFi,n
2.每期计算利息,到期一次性支付全部利息并归还本金的债券估值
V=(I×n+F)×PVIFi,n
3.零息债券估值
V=F)×PVIFi,n
(三)债券投资收益率的估计
企业是否投资债券的另外一种决策方法是计算债券预期投资收益率,将其与企业对该债券要求的必要报酬率进行比较,做出是否投资的决策。这种收益率的计算方法也可用于债券投资结束后评价实际的投资收益率。
1.每期支付利息、到期支付本金的债券投资收益率
P0=I×PVIFAr,n+Pn×PVIFr,n
2.每期计算利息,到期一次性支付全部利息并归还本金的债券投资收益率
P0=(I×n +Pn)×PVIFr,n
3.零息债券的投资收益率
二、股票投资决策
(一)股票投资的风险
股票投资所承担的这些风险分为可分散风险和不可分散风险,其详细介绍参见第一章的相关内容。
根据证券组合风险报酬的理论,股票投资只能对其中的不可分散风险要求风险报酬,根据股票不可分散风险程度大小,投资者可以确定出该股票的必要报酬率。
(二)股票投资的估值
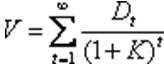
1.股票估值的基本公式
长期持有的股票价值来自于其每期发放的现金股利,股票估值的基本公式为:

式中:V――股票价值
Dt――每年的现金股利,它取决于股票发行公司每年的收益和股利发放率
K――股票投资的必要报酬率
2.有限期持有股票的价值计算公式
股票估值公式为:

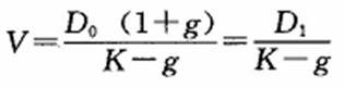
3.零增长公司股票价值的计算公式
V=D/K
4.固定增长公司股票估值的计算公式
K=D1/P+g

(三) 股票投资收益率的估计
1.零增长公司股票投资收益率的计算公式
R=D/P0
2.固定增长公司股票投资收益率的计算公式

2013年审计师考试招生简章
2013年审计师考试报名时间预估
2013年审计师考试时间10月13日 2012年审计师考试成绩查询方式汇总
最新资讯
- 2020年初中级审计师考试大纲汇总(4月30日更新)2020-04-30
- 2019年审计师教材变化汇总(6.27更新完毕)2019-06-27
- 审计师行业动态:邢台市审计局按需施教加强审计干部培训2019-04-24
- 2019年审计师考试四个阶段通关攻略2019-02-28
- 2018年审计师《企业财务管理》精选笔记财管目标和职能2018-01-24
- 2018年审计师《企业财务管理》精选笔记财管含义和内容2018-01-24
- 2018年审计师《企业财务管理》精选笔记利润管理2018-01-24
- 2018年审计师《企业财务管理》精选笔记非股份制企业利润分配2018-01-24
- 2018年审计师《企业财务管理》精选笔记股份制企业利润分配2018-01-24
- 2018年审计师《企业财务管理》精选笔记利润及其分配管理2018-01-24

