2015年理财规划师二级投资规划复习:马柯维茨投资组合理论
更新时间:2015-02-11 13:01:22
来源:|0
浏览
收藏
理财规划师报名、考试、查分时间 免费短信提醒
摘要 2015年理财规划师二级投资规划复习:马柯维茨投资组合理论
热门辅导班型:2015年一对一双证班热招
马柯维茨投资组合理论
(一) 均值-方差模型
1. 原理:只需要实现预期收益率最大化和收益率不确定性的最小化两者之间的均衡,便可以优化证券的组合方式。
2. 假设:
(1)投资者通过投资组合在某一段时间的预期报酬率和标准差来评价这一投资组合
(2)投资者是不知足的和厌恶风险的,即投资者总是希望期望收益率越高越好,而方差越小越好。方差是未来收益可能值对期望收益值的偏离的平方的加权平均。
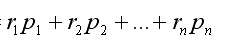
期望收益率E(r)=
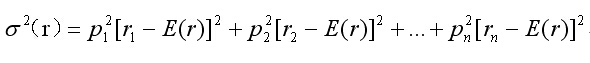
资产组合的方差:
3. 有效边界
标准差(方差的平方根)为横轴、期望收益率为纵轴。
4. 最优风险资产组合
(1) 无差异曲线
(2) 最优证券组合:无差异曲线族与有效边界相切的切点对应的组合。
5. 马柯维茨均值-方差模型的应用
第一步:估计各单个证券的期望收益率、方差,以及每两个证券之间的相关系数
第二步:计算给定期望收益率水平下的最小方差组合
编辑推荐:
2014年下半年理财规划师成绩查询专题 2015年无条件代报名
理财规划师各级别历年真题大汇总|免费在线模考|理财规划师频道|交流论坛
编辑推荐
最新资讯
- 理财规划师告诉你理财为什么要趁早2019-09-25
- 理财规划师考试专业能力备考:可保利益原则2019-09-23
- 理财规划师考试知识点:风险管理效果评价2019-09-07
- 理财规划师考试基础知识点复习:实施理财规划方案2019-09-06
- 理财规划师考试辅导:风险管理效果评价2019-09-06
- 理财规划师基础知识复习:确定客户理财目标2019-09-05
- 理财规划师考试知识点:分项理财规划2019-09-05
- 理财规划师考试备考:如何提高学习效率2019-09-04
- 理财规划师考点复习:国际金融2019-09-03
- 理财规划师基础能力考点梳理:第1章2019-09-03