2015年造价师造价管理精讲班讲义:网络图的绘制
特别推荐:环球造价工程师精彩视频免费学
第三章工程项目管理
第五节 网络计划技术
1.内容提要
² 网络图的绘制规则;
² 网络计划时间参数的计算
² 双代号时标网络计划
² 网络计划的优化
² 网络计划执行中的控制
2.重点、难点分析
网络图的绘制规则和双代号网络计划时间参数的计算方法是我们学习的难点,也是考核的重点内容。
3.内容讲解
一、网络图的绘制
(一)基本概念
1. 网络图和工作
网络图是由箭线和节点组成,用来表示工作流程的有向、有序网状图形。一个网络图表示一项计划任务。网络图中的工作是计划任务按需要粗细程度划分而成的、消耗时间或同时也消耗资源的一个子项目或子任务。工作可以是单位工程;也可以是分部工程、分项工程;一个施工过程也可以作为一项工作。在一般情况下,网络图中的工作分为三种:
Ø 完成一项工作既需要消耗时间,也需要消耗劳动力、原材料、施工机具等资源;
Ø 有一些工作只消耗时间而不消耗资源,如混凝土浇筑后的养护过程和墙面抹灰后的干燥过程等;
Ø 虚工作:既不消耗时间,也不消耗资源。
网络图有双代号网络图和单代号网络图两种。
双代号网络图又称箭线式网络图,它是以箭线及其两端节点的编号表示工作,同时,节点表示工作的开始或结束以及工作之间的连接状态。如图所示。


单代号网络图又称节点式网络图,它是以节点及其编号表示工作,箭线表示工作之间的逻辑关系。如图所示。


注意:网络图中的节点都必须有编号,其编号严禁重复,并应使每一条箭线上箭尾节点编号小于箭头节点编号。在双代号网络图中,有时存在虚箭线,虚箭线不代表实际工作,我们称之为虚工作。虚工作既不消耗时间,也不消耗资源。虚工作主要用来表示相邻两项工作之间的逻辑关系。但有时为了避免两项同时开始、同时进行的工作具有相同的开始节点和完成节点,也需要用虚工作加以区分。
在单代号网络图中,虚拟工作只能出现在网络图的起点节点或终点节点处。
2. 工艺关系和组织关系
工艺关系和组织关系是工作之间先后顺序关系――逻辑关系的组成部分。
(1)工艺关系。生产性工作之间由工艺过程决定的、非生产性工作之间由工作程序决定的先后顺序关系称为工艺关系。在图3.5.1所示的双代号网络计划中,支模1→扎筋1→混凝土1为工艺关系。
(2)组织关系。工作之间由于组织安排需要或资源(劳动力、原材料、施工机具等)调配需要而规定的先后顺序关系称为组织关系。在图3.5.1所示的双代号网络计划中,支模1→支模2;扎筋1→扎筋2等为组织关系。

3. 紧前工作、紧后工作和平行工作
(1)紧前工作。在网络图中,相对于某工作而言,紧排在该工作之前的工作称为该工作的紧前工作。在双代号网络图中,工作与其紧前工作之间可能有虚工作存在。如图3.5.1所示,支模1是支模2在组织关系上的紧前工作;扎筋1和扎筋2之间虽然存在虚工作,但扎筋1仍然是扎筋2在组织关系上的紧前工作。支模1则是扎筋1在工艺关系上的紧前工作。
(3)紧后工作。在网络图中,相对于某工作而言,紧排在该工作之后的工作称为该工作的紧后工作。在双代号网络图中,工作与其紧后工作之间也可能有虚工作存在。如图3.5.1所示,扎筋2是扎筋1在组织关系上的紧后工作;混凝土1是扎筋1在工艺关系上的紧后工作。
(3)平行工作。在网络图中,相对于某工作而言,可以与该工作同时进行的工作即为该工作的平行工作。如图3.5.1所示,扎筋1和支模2互为平行工作。
4. 先行工作和后续工作
(1)先行工作。相对于某工作而言,从网络图的第一个节点(起点节点)开始,顺箭头方向经过一系列箭线与节点到达该工作为止的各条通路上的所有工作,都称为该工作的先行工作。如图3.5.1所示,支模1、扎筋1、混凝土1、支模2、扎筋2均为混凝土2的先行工作。
(2)后续工作。相对于某工作而言,从该工作之后开始,顺箭头方向经过一系列箭线与节点到网络图最后一个节点(终点节点)的各条通路上的所有工作,都称为该工作的后续工作。如图3.5.1所示,扎筋1的后续工作有混凝土1、扎筋2和混凝土2。
5. 线路、关键线路和关键工作
(1)线路。网络图中从起点节点开始,沿箭头方向顺序通过一系列箭线与节点,最后到达终点节点的通路称为线路。线路既可依次用该线路上的节点编号来表示,也可依次用该线路上的工作名称来表示。如图3.5.1所示,该网络图中有三条线路,这三条线路既可表示为:①-②-③-⑤-⑥、①-②-③-④-⑤-⑥和①-②-④-⑤-⑥,也可表示为:支模1→扎筋1→混凝土1→混凝土2、支模1→扎筋1→扎筋2→混凝土2和支模1→支模2→扎筋2→混凝土2。
(2)关键线路和关键工作。在关键线路法(CPM)中,线路上所有工作的持续时间总和称为该线路的总持续时间。总持续时间最长的线路称为关键线路,关键线路的长度就是网络计划的总工期。如图3.5.1所示,线路①-②-④-⑤-⑥或支模1→支模2→扎筋2→混凝土2为关键线路。
说明:
Ø 在网络计划中,关键线路可能不止一条。而且在网络计划执行过程中,关键线路还会发生转移。
Ø 关键线路上的工作称为关键工作。在网络计划的实施过程中,关键工作的实际进度提前或拖后,均会对总工期产生影响。
例题:
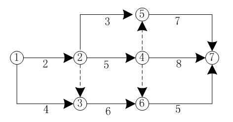
某工程双代号网络计划如下图所示,其中关键线路有( )条。

A.1 B.2 C.3 D.4
【答案】B
【解题思路】线路1257,时间为12;线路12457,时间为14;线路1247,时间为15;线路12367,时间为13;线路12467,时间为12;线路1367,时间15。时间最长的线路为关键路线。
(二)网络图的绘制规则和方法
1. 双代号网络图的绘制规则和方法
(1)绘图规则。在绘制双代号网络图时,一般应遵循以下基本规则:
1)网络图必须按照已定的逻辑关系绘制。
2)网络图中严禁出现从一个节点出发,顺箭头方向又回到原出发点的循环回路。
3)网络图中的箭线(包括虚箭线,以下同)应保持自左向右的方向,不应出现箭头指向左方的水平箭线和箭头偏向左方的斜向箭线。若遵循该规则绘制网络图,就不会出现循环回路。
4)网络图中严禁出现双向箭头和无箭头的连线。
5)网络图中严禁出现没有箭尾节点的箭线和没有箭头节点的箭线。
6)严禁在箭线上引入或引出箭线。但当网络图的起点节点有多条箭线引出(外向箭线)或终点节点有多条箭线引入(内向箭线)时,为使图形简洁,可用母线法绘图。即:将多条箭线经一条共用的垂直线段从起点节点引出,或将多条箭线经一条共用的垂直线段引入终点节点,如图3.5.2所示。对于特殊线型的箭线,如粗箭线、双箭线、虚箭线、彩色箭线等,可在从母线上引出的支线上标出。

7)应尽量避免网络图中工作箭线的交叉。当交叉不可避免时,可以采用过桥法或指向法处理。如图3.5.3所示。

8)网络图中应只有一个起点节点和一个终点节点(任务中部分工作需要分期完成的网络计划除外)。除网络图的起点节点和终点节点外,不允许出现没有外向箭线的节点和没有内向箭线的节点。
(2)绘图方法。(略)
环球网校友情提示:如果您在此过程中遇到任何疑问,请登录环球网校造价工程师考试频道及论坛,环球网校造价师考试交流群384019082,欢迎您的加入,随时与广大考生朋友们一起交流!
更多造价工程师信息:
编辑推荐:
最新资讯
- 官方确认!2026年一级造价工程师教材沿用2025年版2026-01-04
- 备考必看:一级造价师《安装计量》十大核心知识点总结2025-11-02
- 速看!一级造价师《土建计量》十大核心考点总结2025-11-01
- 免费分享:一级造价师《工程计价》十大核心考点总结2025-10-31
- 一键收藏:一级造价师《造价管理》十大核心考点总结2025-10-30
- 免费分享:2025年一级造价师《工程计价》考点汇总2025-10-29
- 2025年一级造价师《工程计价》考试难度及考点分析2025-10-28
- 免费分享:2025年一级造价师《造价管理》考点汇总2025-10-27
- 免费分享:2025年一级造价师案例分析重要考点汇总2025-10-27
- 2025年一级造价师《造价管理》重点考查内容2025-10-24