2015年造价工程师考试常用公式说明1
特别推荐:环球造价工程师精彩视频免费学※ 全程领跑※ 在线估分
资金时间价值是资金社会再生产过程所产生的增值,是指货币随着时间的推移而发生的增值,是资金周转使用后的增值额,实质是劳动者创造的剩余价值。
一、资金成本
1、资金成本可以用绝对数表示,也可以用相对数表示。
K= 
其中:K资金成本率(一般统称为资金成本)
P筹集资金总额 D使用费 F筹资费
f筹资费费率(即筹资费占筹集资金总额的比率)
2、各种资金来源的资金成本计算
1)普通股成:如果普通股各年份的股利固定不变,则
Kc=
=
=![]()
其中:Kc普通股成本率 普通股股票面值或时常总额
D每年固定股利总额(i为股利率) f筹资费率
2)优先股成本:

其中:Kp优先股成本率 Dp优先股每年股息
Po优先股票面值 i股息率 f筹资费率
例:某企业发行优先股股票,票面额按正常市场价计算为300万元,筹资率为4%,股息年利率为15%,则其成本率为多少?

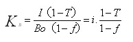
3)债券成本:企业发行债券后,所支付的债券利息是列入企业的成本开支的,因而使企业少缴一部分所得税,两者抵消后,实际上企业支付的债券利息仅为:债券利息:债券利息×(1-所的税税率)

其中:KB债券成本率 Bo债券发行总额
I债券年利息总额 f筹资费率
T所得税税率 i债券年利息率
例:某企业发行长期债券500万元,筹资费率为3%,债券利息率为13%,所得税税率为33%,则起成本率为多少?

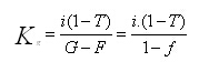
4)银行借款:企业所支付的利息和费用一般可作为企业的费用开开支,相应减少部分利润,会使企业少缴纳一部分所得税,因而使企业的实际支出相应减少。
对每年年末支付利息,贷款期末一次全部还本的的借款,其借款成本率:

其中:Kg借款成本率 G贷款总额
I贷款年利息(i为贷款年利息) F贷款费用
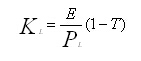
5)租赁成本:将租赁成本列入企业成本,可以减少应付所得税:

其中: 租赁成本率 租赁资产价值
E年租金额 T所得税税率
例:某企业租入施工机械一台,价值50万元,年租金10万元没,所得税税率33%,计算租赁成本率?

二、利率
利率也称为利息率,是单位时间内利息量和本金的比率

其中:i利率 L单位时间内的利息 P本金
单位时间也称为计息周期,通常为一年,但也有以半年、季度、月甚至周为单位。
三、资金利息计算
1、单利计算:仅用本金计算利息,不计算利息所产生的利息(私人多年定期存款中,银行不将第一年所获得利息转入到后一年本金去)。
利息发生在计息周期末。如果有n个计息周期,则
L=P×i×n
到投资期末,本金与利息之和(本利和),则
F=P(1+i.n)
其中:n计息周期数 F本利和
例:某人存入银行1000元,定期为3年,年利率为13%,3年后本利和为?
F=P(1+i.n)=1000(1+0.13×3)=1390元
2、复利计算:除了本金利息外,还要计算利息产生的利息。
例:某人存入银行1000元,定期为3年,年利率为13%,3年后本利和为?
若采用复利计算则:F=P(1+i.n)3=1000(1+0.13×1)3=1442.89(元)
环球网校友情提示:如果您在此过程中遇到任何疑问,请登录环球网校造价工程师考试频道及论坛,环球网校造价师考试交流群384019082,欢迎您的加入,随时与广大考生朋友们一起交流!
更多造价工程师信息:
编辑推荐:
最新资讯
- 官方确认!2026年一级造价工程师教材沿用2025年版2026-01-04
- 备考必看:一级造价师《安装计量》十大核心知识点总结2025-11-02
- 速看!一级造价师《土建计量》十大核心考点总结2025-11-01
- 免费分享:一级造价师《工程计价》十大核心考点总结2025-10-31
- 一键收藏:一级造价师《造价管理》十大核心考点总结2025-10-30
- 免费分享:2025年一级造价师《工程计价》考点汇总2025-10-29
- 2025年一级造价师《工程计价》考试难度及考点分析2025-10-28
- 免费分享:2025年一级造价师《造价管理》考点汇总2025-10-27
- 免费分享:2025年一级造价师案例分析重要考点汇总2025-10-27
- 2025年一级造价师《造价管理》重点考查内容2025-10-24