2015年造价工程师考试常用公式说明2
特别推荐:环球造价工程师精彩视频免费学※ 全程领跑※ 在线估分
资金的时间价值
1、一次支付终值公式
已知:在第一年投入资金P,以年利率i进行复利计算,问第n年末的本利和F?

式中:
称为复利终值系数,
表示
则
例:某企业向银行借款100万元,年利率为7%,5年后偿还?

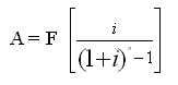
2、一次支付现值公式
已知:欲在n年后取出款金额F,银行利率i进行复利计算,现在应付P?

式中:
称为复利终值系数,
表示
则
例:某企业两年后拟从银行取出50万元,假定年利率为8%,现应存多少?

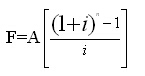
3、等额年终值公式:
在经济活动期内,每单位时间间隔里具有相同的收入与支出(年等值)。设在n个时间周期内,每个时间周期末支出(或收入)相同的金额A,并在投资期末将资金全部收入(或支出)。
年终值公式:
系数称为等额年终值公式系数,记为
故:
例:连续每年年末投资1000元,年利率为6%,到第五年末可得本利和?
若发生在年初,则
=(1+0.06)×F=5975.22(元)
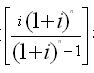
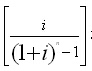
4、等额存储偿债基金公式:
已知:一笔n年末的借款F,拟在1至n年末等额存储一笔资金A,以便到n年期末偿还债务F,问A?
系数称为偿债资金系数,记为
故:
例:为了在五年末获得5637元的资金,当资金利率为6%,每年末应存款多少?

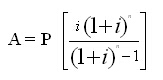
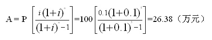
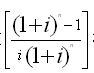
5、等额支付资金回收公式:
现投入一笔资金P,希望今后n年内将本利和在每年末以等额A的方式回收,问A?

系数
称为偿债资金系数,记为
故:
例:现投资100万元,预期利率为10%,坟年回收,每年可回收多少?

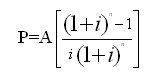
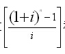
6、等额年现金值公式:
已知:n年内每年年末有一笔等额的收入(支出)A,求现值P?

系数
称为偿债资金系数,记为
故:
例:某公司拟投资一个项目,预计建成后每年获利10万元,3年后回收全部投资的利和,设贷款利率为10%,问该项目总投资为多少?

实际利率与名义利率
1、名义利率计算:在一年内,不考虑多次计息中利息产生的利息,此时资金的年利率成为名义利率;
2、实际利率:以计息周期利率来计算年利率,考虑了利息的时间价值(利息);
设:名义利率为i,实际利率为r,m为一年内资本计息次数;
可得:
若按名义利率i存入一笔资金,每年计息m次,共存n年,则可得本利和为?

例:1000元3年存款期,名义利率为8%,则:
1)单利:F= P(1+i.n)=1000(1+0.08×3)=1240(元)
2)年复利:
3)季复利:
环球网校友情提示:如果您在此过程中遇到任何疑问,请登录环球网校造价工程师考试频道及论坛,环球网校造价师考试交流群384019082,欢迎您的加入,随时与广大考生朋友们一起交流!
更多造价工程师信息:
编辑推荐:
最新资讯
- 官方确认!2026年一级造价工程师教材沿用2025年版2026-01-04
- 备考必看:一级造价师《安装计量》十大核心知识点总结2025-11-02
- 速看!一级造价师《土建计量》十大核心考点总结2025-11-01
- 免费分享:一级造价师《工程计价》十大核心考点总结2025-10-31
- 一键收藏:一级造价师《造价管理》十大核心考点总结2025-10-30
- 免费分享:2025年一级造价师《工程计价》考点汇总2025-10-29
- 2025年一级造价师《工程计价》考试难度及考点分析2025-10-28
- 免费分享:2025年一级造价师《造价管理》考点汇总2025-10-27
- 免费分享:2025年一级造价师案例分析重要考点汇总2025-10-27
- 2025年一级造价师《造价管理》重点考查内容2025-10-24