岩土工程师辅导资料:债券资金成本
更新时间:2010-11-17 09:57:55
来源:|0
浏览
收藏
注册土木工程师(岩土)报名、考试、查分时间 免费短信提醒
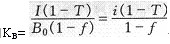
企业发行债券后,其利息处理与借款利息的处理相同,也是列入企业费用开支的,因而使企业少缴一部分所得税。当债券平价发行时,债券资金成本率可以按下式计算:
![]()
(9.6—3)
式中,KB——债券成本率;
B0——债券平价发行总额;
I——债券年利息总额;
f——筹资费率;
T——所得税税率;
i——债券年利息率。
例9.6.2某公司发行债券筹资,票面总金额为1000万元,偿还期10年,票面利率12%,发行费用率3%,公司所得税率为33%,求债券资金成本率。
解

式中,I——债券年利息;
B1——债券的实际发行总金额;
B0——债券面值总金额;
n——债券偿还期。
债券的筹资费用一般比较高,所以在利率相同情况下,其资金成本一般也高于借款成本。
更多内容访问>> 注册土木工程师(岩土)考试频道 注册土木工程师(岩土)考试论坛 岩土工程师课程试听
·2011年注册土木工程师(岩土)考试辅导招生简章
·岩土工程师辅导现在报名任意专业知识赠送专业知识习题班
·老师辅导每天24小时不限时间随时反复学习……
编辑推荐
上一篇:岩土工程师辅导资料:资本金利润率
最新资讯
- 1元领取!2026注册土木工程师(岩土)知识点集锦课程2026-03-31
- 2025年注册土木工程师(岩土)考试《专业知识》科目重点考点2025-10-17
- 2025年注册土木工程师(岩土)基础知识考点复习2025-10-17
- 2025年岩土工程师基础知识点:地面沉降2025-09-10
- 2025年岩土工程师《基础知识》考点:基坑围护设计2025-09-01
- 2025年岩土工程师《基础知识》考点:监测点要求2025-08-22
- 2025年岩土工程师《基础知识》考点:砌体工程2025-08-11
- 2023年注册岩土工程师基础考试资料2024-09-20
- 2024年度全国注册土木工程师(岩土)专业考试所使用的标准和法律法规2024-08-12
- 注册岩土工程师备考要趁早 双11好课限时优惠!直播间更有返现抽奖~2023-10-31