岩土工程师辅导资料:优先股资金成本
更新时间:2010-11-17 10:00:06
来源:|0
浏览
收藏
注册土木工程师(岩土)报名、考试、查分时间 免费短信提醒
优先股资金成本率可按下式计算:
![]()
式中,Kp——优先股成本率;
Dp——优先股每年股息;
P0——优先股票面值;
i——股息率;
f——筹资费率。
由于优先股票持有人的投资风险大于债券持有人的投资风险,这就使优先股的股息率高于债券的利息,而股息还是以所得税后的净利支付,不减少公司的应缴所得税,因而优先股成本率一般明显高于债券成本率。
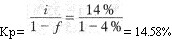
例9.6.3某公司发行优先股股票,票面额按正常市价计算为200万元,筹资费率为4%,股息年率为14%,求其资金成本率。
解

更多内容访问>> 注册土木工程师(岩土)考试频道 注册土木工程师(岩土)考试论坛 岩土工程师课程试听
·2011年注册土木工程师(岩土)考试辅导招生简章
·岩土工程师辅导现在报名任意专业知识赠送专业知识习题班
·老师辅导每天24小时不限时间随时反复学习……
编辑推荐
上一篇:岩土工程师辅导资料:债券资金成本
最新资讯
- 1元领取!2026注册土木工程师(岩土)知识点集锦课程2026-03-31
- 2025年注册土木工程师(岩土)考试《专业知识》科目重点考点2025-10-17
- 2025年注册土木工程师(岩土)基础知识考点复习2025-10-17
- 2025年岩土工程师基础知识点:地面沉降2025-09-10
- 2025年岩土工程师《基础知识》考点:基坑围护设计2025-09-01
- 2025年岩土工程师《基础知识》考点:监测点要求2025-08-22
- 2025年岩土工程师《基础知识》考点:砌体工程2025-08-11
- 2023年注册岩土工程师基础考试资料2024-09-20
- 2024年度全国注册土木工程师(岩土)专业考试所使用的标准和法律法规2024-08-12
- 注册岩土工程师备考要趁早 双11好课限时优惠!直播间更有返现抽奖~2023-10-31