岩土工程师辅导资料:资金时间价值计算公式
资金时间价值的等值变换包括现值与终值的相互变换、等额年金与现值的相互变换、等额年金与终值的相互变换。资金时间价值的计算方法与复利计息的方法完全相同。
1)现值到终值的等值变换——一次整付本利和公式
图9.1.3所示为现值向终值的等值变换。即已知P,i,n求F

【解析】根据复利计算原理,每期期末终值为
F1=P+P×i=P(1+i)
F2=Fl+F1×i=F1·(1+i)=P(1+i)2
F3=F2+F2·i=F2(1+i)=P(1+i)3
……………
图9.1.3一次整付本利和现金流量图
Fn—l=Fn—2+Fn—2·i=Fn—2(1+i)=P(1+i)n—1
Fn=Fn—1+Fn—1·i=Fn—1(1+i)=P(1+i)n
由此可推导出一次整付本利和公式(或一次支付终值公式)
F=P(1+i)n (9.1—1)
式中,(1十i)n是现值与终值的等值变换系数,称为整付本利和系数或终值系数,记为(F/P,i,n)。
例9.1.1某人拟将10 000元用于投资,年报酬率为8%。投资第三年年末,可得本利和为
F=P(1+i)n=10000×(1+8%)3=12597(元)
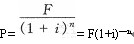
2)终值到现值的等值变换——一次整付现值公式
图9.1.4所示为由终值到现值的等值变换,即已知F,i,n,求P。根据一次支付终值公式,可得
![]()
9.1—2)
式中,(1+i)—n为现值系数,记为(P/F,i,n)。
把未来时刻资金的价值换算为现在时刻的价值,称为折现(或贴现)。
更多内容访问>> 注册土木工程师(岩土)考试频道 注册土木工程师(岩土)考试论坛 岩土工程师课程试听
·2011年注册土木工程师(岩土)考试辅导招生简章
·岩土工程师辅导现在报名任意专业知识赠送专业知识习题班
·老师辅导每天24小时不限时间随时反复学习……
最新资讯
- 1元领取!2026注册土木工程师(岩土)知识点集锦课程2026-03-31
- 2025年注册土木工程师(岩土)考试《专业知识》科目重点考点2025-10-17
- 2025年注册土木工程师(岩土)基础知识考点复习2025-10-17
- 2025年岩土工程师基础知识点:地面沉降2025-09-10
- 2025年岩土工程师《基础知识》考点:基坑围护设计2025-09-01
- 2025年岩土工程师《基础知识》考点:监测点要求2025-08-22
- 2025年岩土工程师《基础知识》考点:砌体工程2025-08-11
- 2023年注册岩土工程师基础考试资料2024-09-20
- 2024年度全国注册土木工程师(岩土)专业考试所使用的标准和法律法规2024-08-12
- 注册岩土工程师备考要趁早 双11好课限时优惠!直播间更有返现抽奖~2023-10-31