岩土工程师基础考试:微分学(1)
更新时间:2013-02-20 14:51:34
来源:|0
浏览
收藏
注册土木工程师(岩土)报名、考试、查分时间 免费短信提醒
摘要 为方便广大考生朋友准备2013年的岩土工程师考试,环球网校特地对基础考点进行了汇总,希望能提高您的复习效率。
微分学的核心概念,主要始原于研究如何确定非匀速直线运动质点的瞬时速度与平面曲线上一点处的切线方向。
瞬时速度
原是一个纯粹的物理概念。它是在人们经过多次反复观察比较种种非匀速直线运动,尤其在研究物体的碰撞运动而获得大量经验之后产生的。精确科学要求,不仅要准确、清晰而定性地表达这个概念(当然必须与经验的瞬时速度概念相一致),而且要能同时给出确定速度数值的方法。这就促使人们在数学上要建 立一种对函数施加的独特的运算。
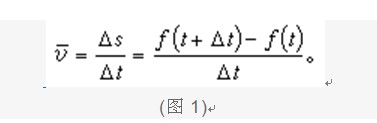
设一个非匀速直线运动的质点所行的路程 s与时间t的依赖关系是 s=f(t)。 如果要定义质点在某一给定时刻t的速度(瞬时速度),并计算出这速度的数值,考虑时刻t的一个邻近值t1,在t到t1这段时间Δt=t1-t中,质点运动的路程是 △s=f(t1)-f(t),从而这段路程上的平均速度是:(图1)

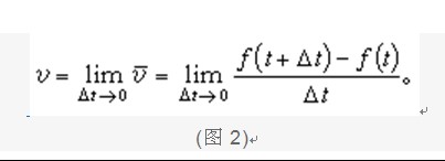
在一般常见的情形,当Δt很小,相应的就很接近于时刻t的瞬时速度,而且一般说来,Δt愈小,就愈接近于该时刻的瞬时速度。这说明,时刻t的瞬时速度可以表现为路程变化量与时间变化量之比当Δt趋于零(而始终不等于零)时的极限:(图2)只要这个极限存在,就利用它来定义瞬时速度并计算其数值。

编辑推荐:
编辑推荐
上一篇:岩土工程师基础考试:空间解析几何
下一篇:岩土工程师基础考试:微分学(2)
最新资讯
- 1元领取!2026注册土木工程师(岩土)知识点集锦课程2026-03-31
- 2025年注册土木工程师(岩土)考试《专业知识》科目重点考点2025-10-17
- 2025年注册土木工程师(岩土)基础知识考点复习2025-10-17
- 2025年岩土工程师基础知识点:地面沉降2025-09-10
- 2025年岩土工程师《基础知识》考点:基坑围护设计2025-09-01
- 2025年岩土工程师《基础知识》考点:监测点要求2025-08-22
- 2025年岩土工程师《基础知识》考点:砌体工程2025-08-11
- 2023年注册岩土工程师基础考试资料2024-09-20
- 2024年度全国注册土木工程师(岩土)专业考试所使用的标准和法律法规2024-08-12
- 注册岩土工程师备考要趁早 双11好课限时优惠!直播间更有返现抽奖~2023-10-31