2010年会计职称《中级财务管理》证券评价(3)
更新时间:2010-02-24 09:07:20
来源:|0
浏览
收藏
中级会计职称报名、考试、查分时间 免费短信提醒
(二)、普通股的评价模型
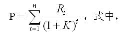
普通股的价值 (内在价值)是由普通股产生的未来现金流量的现值决定的,股票给持有者带来的未来现金流入包括两部分:股利收入和股票出售时的收入。
其基本计算公式是:
转自环 球 网 校edu24ol.com
P是股票价值;Rt是股票第t年产生的现金流入量 (包括股利收入、卖出股票的收入);K是折现率; n是持有年限。
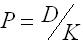
1、股利固定模型(零成长股票的模型,思路是永续年金求现值)
如果长期持有股票,且各年股利固定,其支付过程即为一个永续年金,则该股票价值的计算公式为:
![]()
式中,D为各年收到的固定股息;其他符号的含义与基本公式相同。
【例3-27】
某公司股票每年分配股利2元,若投资者最低报酬率为16%,要求计算该股票的价值。
解答:已知永续年金,求现值,P=2÷16%=12.5(元)
【例3-28】某公司股票面值为10元/股,年股利率为10%,必要报酬率为12.5%,要求计算股票的内在价值。
解答:
股票内在价值=(10×10%)/12.5%=8元
2010年会计职称考试网络辅导招生简章 转自环球网校edu24ol.com
编辑推荐
最新资讯
- 2026中级会计经济法速记口诀50条|可下载打印,法条速记不费脑2026-03-23
- 2026中级会计财务管理速记口诀50条(可下载),公式/考点秒记,告别死背2026-03-23
- 2026中级会计财务管理100母题汇总(可下载打印),公式+真题同源,高效提分2026-03-23
- 2026中级会计经济法100母题汇总(可下载+含解析),背会稳冲60+2026-03-23
- 2026中级会计实务100母题汇总(可下载+含解析),吃透稳提20分2026-03-23
- 2026中级会计财务管理三色笔记:覆盖全书重点,精准分层2026-03-22
- 2026中级会计经济法全书知识点名称+对应分值汇总,背题抓分不盲目2026-03-21
- 26年中级会计实务各章节重点+思维导图,可直接下载!备考省80%时间2026-03-20
- 2026中级会计经济法:知识点+分值速览(免费下载,高效抓分)2026-03-20
- 2026中级会计财务管理必背公式汇总|可下载打印,记牢直接提分2026-03-19


