2010年会计职称《中级财务管理》证券评价(4)
更新时间:2010-02-24 09:07:28
来源:|0
浏览
收藏
中级会计职称报名、考试、查分时间 免费短信提醒
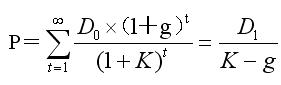
2.股利固定增长模型转自环 球 网 校edu24ol.com
假定企业长期持有股票,且各年股利按照固定比例增长,则股票价值计算公式为:

式中,D0为评价时已经发放的股利; g为股利每年的增长率;
如果g

【例3-29】
假设某公司本年每股将派发股利0.2元,以后每年的股利按4%递增,投资必要报酬率为9%,要求计算该公司股票的内在价值。
解答:P=0.2/(9%-4%)=4(元/股)
【例3-30】
国安公司准备投资的购买东方信托公司的股票,该股票上年每股股利为2元,预计以后每年以4%的增长率增长,国安公司经过分析后,认为必须得到10%的报酬率,才能购买该公司的股票。要求计算该种股票的内在价值。
解答:
P=2×(1+4%)/(10%-4%)=34.67(元)
即东方信托公司的股票价格在34.67元以下时,国安公司才能购买。
2010年会计职称考试网络辅导招生简章 转自环球网校edu24ol.com
编辑推荐
最新资讯
- 2026中级会计经济法速记口诀50条|可下载打印,法条速记不费脑2026-03-23
- 2026中级会计财务管理速记口诀50条(可下载),公式/考点秒记,告别死背2026-03-23
- 2026中级会计财务管理100母题汇总(可下载打印),公式+真题同源,高效提分2026-03-23
- 2026中级会计经济法100母题汇总(可下载+含解析),背会稳冲60+2026-03-23
- 2026中级会计实务100母题汇总(可下载+含解析),吃透稳提20分2026-03-23
- 2026中级会计财务管理三色笔记:覆盖全书重点,精准分层2026-03-22
- 2026中级会计经济法全书知识点名称+对应分值汇总,背题抓分不盲目2026-03-21
- 26年中级会计实务各章节重点+思维导图,可直接下载!备考省80%时间2026-03-20
- 2026中级会计经济法:知识点+分值速览(免费下载,高效抓分)2026-03-20
- 2026中级会计财务管理必背公式汇总|可下载打印,记牢直接提分2026-03-19


